Diagonalización de Matrices: Ejercicios Resueltos

Contenido de esta página:

  • Introducción

  • Método para diagonalizar una matriz

  • 4 Ejercicios Resueltos


Introducción

En esta sección vamos a diagonalizar, paso a paso, matrices reales cuadradas de dimensiones 3 y 4.

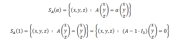
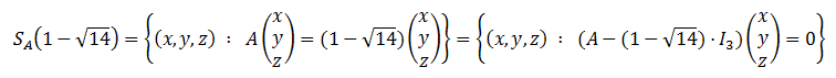
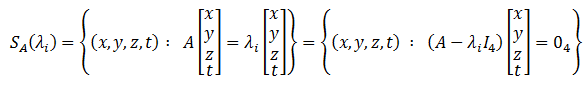
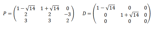
Recordemos que una matriz A cuadrada es diagonalizable si existe una matriz P regular y una matriz D diagonal, ambas de la misma dimensión, de modo que

$$ A = PDP^{-1}$$

O equivalentemente,

$$D = P^{-1}AP$$

Entre sus propiedades, podemos destacar:

  • La matriz diagonal D tiene en su diagonal los autovalores (valores propios) de A

  • La columna i de P es el vector propio asociado al autovalor de la posición i de la diagonal de D

  • Teorema: todas las matrices reales y simétricas son diagonalizables.

  • Potencias de A:

    $$A^2 = AA = (PDP^{-1})(PDP^{-1}) =P D^2 P^{-1}$$

    Por inducción,

    $$A^k =P D^k P^{-1}$$

    Y como D es diagonal, notemos que

    $$D^k = diag(d^k_1,d^k_2 ,...,d^k_n)$$

    Así que calcular las potencias de A es muy rápido.

Podemos encontrar aquí más teoría de diagonalización de matrices.


Método para diagonalizar una matriz

Consideremos la matriz A de dimensión n

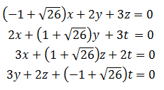
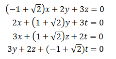
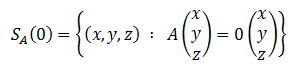
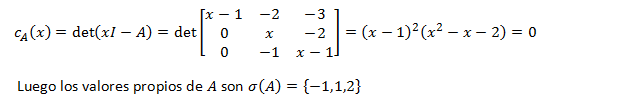
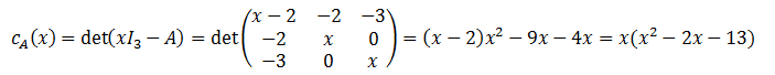
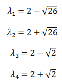
  1. Obtener los valores propios de la matriz A

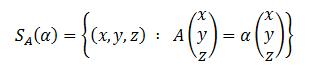
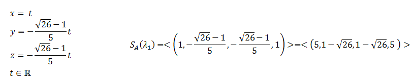
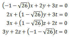
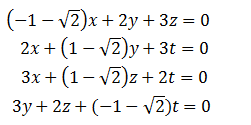
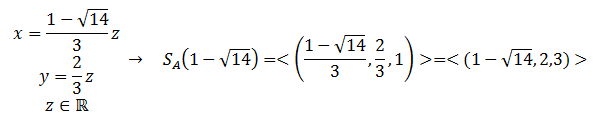
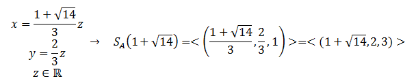
  2. Buscar una base de los subespacios asociados a los valores propios

  3. Si la unión de las bases es una base de n (la suma de las dimensiones de los subespacios es n) la matriz es diagonalizable.

    Construir P cuyas columnas sean la base obtenida (por tanto, es regular) y construir

    $$D = diag(d_1,d_2 ,...,d_n)$$

    donde di es el valor propio asociado al vector propio de la columna i de P.

    Entonces tendremos

    $$A = PDP^{-1}$$

Ejercicios Resueltos



Ejemplos (click para ver solución)

1

ejercicios resueltos diagonalización de matrices

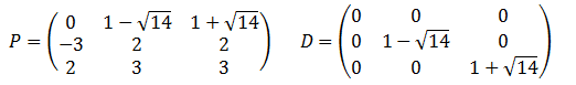
2

ejercicios resueltos diagonalización de matrices

3

ejercicios resueltos diagonalización de matrices

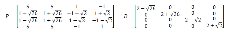
4

ejercicios resueltos diagonalización de matrices



contacto



Creative Commons License
Matesfacil.com by J. Llopis is licensed under a Creative Commons Attribution-NonCommercial 4.0 International License.