En esta página enunaciamos y demostramos el teorema del emparedado. También, proporcionamos varias versiones y ejemplos de aplicación.
Contenido de esta página:
Otras páginas:
El teorema del emparedado (también llamado teorema del sándwich, del bocadillo y de encaje, entre otros) es un resultado muy intuitivo y útil a la hora de calcular el límite de algunas funciones.
El teorema afirma que, si dos funciones tienen el mismo límite, entonces las funciones que están comprendidas entre éstas también tienen el mismo límite:
Ejemplo de gráficas de funciones encajadas (funciones \(\pm \frac{1}{2x+1}\), \(\pm \frac{1}{2x}\), \(\pm \frac{1}{x}\) y \(\pm \frac{2}{x}\)):
El ejemplo típico que se utiliza para mostrar la utilidad de este resultado es el cálculo del límite
Nota: este límite es fácil de calcular, por ejemplo, aplicando la regla de L'Hôpital.
Para demostrar que el límite anterior es igual a 1 sólo hay que tener en cuenta que para \(x\) pequeños,
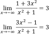
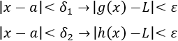
Sean \(f\), \(h\) y \(g\) definidas en un intervalo \(I\) que contiene al punto \(a\) tales que
siendo
Entonces,
Nota: las funciones pueden estar o no definidas en el punto \(a\in I\) (pero debe ser punto de acumulación).
Nota 2: \(L\) debe ser finito: \(L\in \mathbb{R}\).
Nota 3: también, existen versiones para series, sucesiones, funciones con varias variables...
Sean \(\sum_{n\in\mathbb{N}} a_n\) y \(\sum_{n\in\mathbb{N}} b_n\) dos series convergentes y sea \(n_0\in\mathbb{N}\) tal que \(a_n\leq c_n\leq b_n\) para todo \(n\geq n_0\in\mathbb{N}\). Entonces, la serie \(\sum_{n\in\mathbb{N}} c_n\) también converge.
También, existe una versión del teorema para sucesiones:
Sean las sucesiones \(\{a_n\}_{n\in\mathbb{N}}\) y \(\{b_n\}_{n\in\mathbb{N}}\) convergentes a \(L\) y sea la sucesión \(\{c_n\}_{n\in\mathbb{N}}\) tal que existe \(n_0\in\mathbb{N}\) de modo que \(a_n\leq c_n\leq b_n\) para \(n\geq n_0\). Entonces, la sucesión \(c_n\) también converge a \(L\).





Teorema del emparedado o del sándwich - © matesfacil.com
Matesfacil.com
by J. Llopis is licensed under a
Creative
Commons Attribution-NonCommercial 4.0 International License.