En esta página calculamos 50 límites de funciones muy variadas explicando los razonamientos, con y sin indeterminaciones: cocientes, polinomios, raíces, exponenciales, etc.
Contenido de esta página:
Otras páginas:
El límite de una función nos proporciona información sobre su comportamiento. Por ejemplo, sobre su continuidad y las posibles asíntotas.
En esta página vamos a ver las reglas básicas para operar con infinitos, las indeterminaciones y algunos procedimientos para evitar las indeterminaciones. Finalmente, resolvemos 50 límites de forma detallada.
Reglas para sumar, restar, multiplicar, dividir o elevar con infinitos. Estas son las operaciones cuyo resultado se puede predecir (al contrario de lo que ocurre con las indeterminaciones).
Las siete indeterminaciones que existen son las siguientes:

Cuando aparece una indeterminación, tenemos que aplicar determinados razonamientos o procedimientos que permitan hallar el resultado del límite. A continuación, enumeramos algunos de los procedimientos que suelen funcionar.


Tenemos la indeterminación infinito partido infinito.
La función es un cociente de polinomios de distinto grado. Como el grado del polinomio del numerador es mayor que el del denominador, el límite es infinito:

El infinito es positivo porque el cociente de los coeficientes principales de los polinomios es positivo.
Gráfica de la función:

Nota: si el coeficiente del polinomio del denominador fuese negativo, entonces el resultado del límite también lo sería:



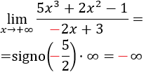
La función es como la del límite anterior, pero ahora el coeficiente director del numerador es negativo.
Razonamos como en el límite anterior:

En este límite, el infinito del resultado es negativo porque el coeficiente principal del polinomio es negativo.
Gráfica de la función:

Nota: si el coeficiente del polinomio del denominador fuese negativo, entonces el resultado del límite sería positivo:



Importante: \(x\) tiende a infinito negativo.
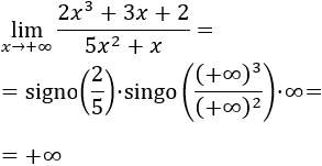
Tenemos un cociente de polinomios. Como el grado del numerador es mayor que el del denominador, el resultado es infinito, pero tenemos que calcular su signo:

Hemos escrito el signo del cociente de los polinomios (es positivo) y el del cociente de infinito al cubo y al cuadrado (es negativo porque una potencia es impar y la otra es par).
Nota: si \(x\) tiende a infinito positivo, entonces resultado del limíte es infinito positivo:

Gráfica de la función:

Nota: obsérvese que la función tiene la asíntota oblicua \(y = (10x-2)/25\).


Tenemos un cociente de polinomios. Como el grado del numerador es el mismo que el del denominador, el límite es el cociente de los coeficientes principales (o directores) de los polinomios:

Gráfica de la función:

Nota: obsérvese que la función tiene la asíntota horizontal \(y = 3/7\). También tiene asíntotas verticales en los puntos que anulan el denominador.


Se trata de la misma función del límite anterior, pero \(x\) tiendiendo ahora al infinito negativo.
Como el grado del numerador es el mismo que el del denominador, el resultado del límite es el cociente de los coeficientes directores:

Nota: que \(x\) tienda a infinito negativo o positivo es irrelevante en esta función puesto que los grados de los polinomios son iguales.
La gráfica de la función es la del límite anterior (es la misma función).


Tenemos un cociente de polinomios:

El grado del numerador es menor que el del denominador, así que directamente sabemos que el límite es 0:

Gráfica de la función:



Como los monomios que importan son los de grado mayor, podemos escribir la siguiente igualdad de límites (omitiendo los monomios de grado menor):

Escribiendo las raíces como potencias podremos ver mejor los grados del numerador y del denominador:

Como el grado del numerador es mayor que el del denominador (4/5 > 3/7), el límite es infinito:

Gráfica de la función (azul) y asíntota \(x = \sqrt[3]{-2}\) (rojo):

Nota: la función tiene la asíntota vertical \(x = \sqrt[3]{-2}\) (punto donde se anula el denominador) por ambos lados, es decir, los límites laterales cuando \(x \to \sqrt[3]{-2}\) son infinitos de signos opuestos.


Omitimos los monomios de grado menor como hicimos en el límite anteior:

Operamos un poco para ver claramente los grados que tienen las \(x\):

Como el grado del numerador es el mismo que el del denominador, el resultado del límite es el cociente de los coeficientes principales (sin olvidar las raíces):

Nota: observad que si \(x\to -\infty\) el resultado del límite es el mismo.
Gráfica de la función (azul) y asíntota \(y = 3^{2/15}\) (rojo):

Nota: la asíntota vertical corresponde al punto que anula el denominador, punto en el que la función no está definida.


Tenemos la indeterminación infinito menos infinito, pero podemos resolver el límite fácilmente si escribimos la raíz como una potencia:

Escrito de esta forma es más fácil ver la función como un polinomio y, por tanto, ver que el límite es infinito porque tenemos infinito elevado a 5 menos infinito elevado a 3/2 (5 es mayor que 3/2). Es decir, prima el exponente mayor.
Gráfica de la función:

Nota: obsérvese que la función no está definida para los reales negativos, así que no tendría sentido calcular el límite cuando \(x \to -\infty\).


Reescribimos el límite (escribimos la raíz como una potencia y operamos):

Observad que el signo negativo del coeficiente principal es la causa del signo negativo del infinito.
Gráfica de la función:

Nota: la función no está definida en los reales negativos.


Observad que \(x\) tiende a infinito negativo.
Como prima el exponente mayor, tenemos

Observad que el cubo mantiene el signo negativo del infinito, pero el coeficiente negativo cambia el signo del infinito al multiplicarlo.
Gráfica de la función:



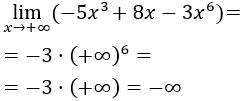
Primer límite
Como prima el exponente mayor,

Observad que la potencia \(x^6\) hace que el infinito sea positivo (porque 6 es par), pero el coeficiente \(-3\) cambia su signo.
Segundo límite

Gráfica de la función:



Importante: \(x\) tiende a 1, así que ya no podemos aplicar la regla de comparar los grados de los polinomios.
Si sustituimos \(x=1\), tenemos la "indeterminación" (leer observaciones finales) cero partido cero porque 1 es raíz de ambos polinomios, pero podemos simplificar el cociente si factorizamos los polinomios:

Nota: hemos resuelto las ecuaciones \(x^2+x-2 = 0\) (con soluciones 1 y -2) y \(x^2-3x+2=0\) (con soluciones 1 y 2) para poder factorizar los polinomios.
Por tanto, ahora sólo tenemos que sustituir \(x = 1\) para resolver el límite:

Gráfica de la función:

Debemos hacer algunas observaciones:



Tenemos un cociente de infinitos.
El grado en el denominador es 1. En el numerador también, porque tenemos un cubo dentro de una raíz cúbica. Por tanto, el límite es el cociente de los coeficientes principales:

Gráfica de la función:



Tenemos una resta de infinitos:

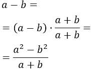
Antes de calcular el límite, es importante decir que cuando hay una resta de raíces (que dan lugar a una resta de infinitos) suele funcionar multiplicar y dividir por la suma (su conjugado):

Multiplicamos y dividimos por el conjugado:

Ahora que hemos solucionado el problema de la diferencia de infinitos, podemos resolver el límite teniendo en cuenta los grados del numerador y denominador:

El resultado es el cociente de los coeficientes directores porque tienen el mismo grado.
Gráfica de la función (azul) y asíntota \(y = 11/2\) (rojo):



Tenemos infinito partido infinito.
El límite depende de los sumandos \(x^2\), así que podemos omitir los otros:

Nota muy importante: el resultado del límite es 1 porque el cociente de los coeficientes es \(-1/(-1) = 1\). El resultado NO es 1 porque el numerador y el denominador se hayan cancelado.
Gráfica de la función (azul) y asíntota \(y = 1\) (rojo):

Observaciones:



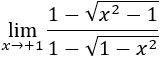
Observad que \(x\) tiende a -1 y a +1.
Primer límite
El límite es fácil de calcular ya que sólo tenemos que sustituir \(x\) por -1:

Segundo límite
Se calcula del mismo modo:

Gráfica de la función:

Observaciones:


El límite de la base y el del exponente son

Por tanto, el límite es 0:

Gráfica de la función:

Nota: la función no está definida en el punto \(x = 0\) (porque se anula el denominador), aunque sí existe el límite en dicho punto como veremos a continuación.


Se trata de la función del límite anterior, pero ahora \(x\) tiende a 0.
Si sustituimos \(x\) por 0, tenemos la indeterminación infinito elevado a cero. En estos casos, aplicamos logaritmos:

Primero vamos a operar en el logaritmo aplicando sus propiedades.
Logaritmo de la potencia:

Logaritmo del cociente y después, de la potencia:

Por tanto, tenemos

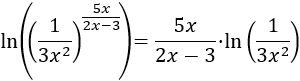
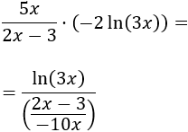
Si escribimos \(x=0\), entonces tendremos la indeterminación cero por infinito. Sin embargo, podemos escribir el producto como un cociente para aplicar la regla de L’Hôpital:

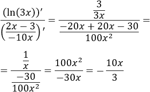
Como tenemos la indeterminación infinito entre infinito, podemos aplicar L’Hôpital, es decir, la siguiente regla:

Derivamos, pues, numerador y denominador:

Luego tenemos

Nota: La gráfica de la función está en el límite anterior y también comentamos ahí que la función no está definida en \(x=0\), aunque el límite exista.


¿Sabrías decir cuál es el dominio de la función?
Tenemos la indeterminación cero partido cero:

Importante: el criterio de los grados no es aplicable porque \(x\) tiende a un punto finito.
Primero vamos a multiplicar y dividir por el conjugado del numerador:

Simplificamos:

Calculamos el límite:

Si pensamos en la función escrita como se proporciona inicialmente, podemos pensar que \(x = \pm 6\) no forman parte de su dominio. No obstante, podemos simplificar la función al cociente

Entonces, el único punto problemático sería \(x = -6\). Además de esto, hemos de exigir \(x\geq 2\) para que el radicando sea positivo. Por tanto, el dominio de la función es el intervalo abierto (2,+∞):



El límite de la base y el del exponente son

Por tanto, como 1/3 es menor que 1,

La función es una exponencial. La base es un cociente de polinomios que nunca se anulan (no hay ninguna \(x\) problemática). El exponente es \(x^2\), siempre no negativo. No hay ningún candidato a discontinuidad. Luego la función sí es continua en todo \(\mathbb{R}\).
Teniendo en cuenta el razonamiento anterior, la única posible asíntota es horizontal y en los infinitos. Ya hemos visto que hay asíntota cuando \(x\to +\infty\). Y el resultado de este límite coincide con el límite cuando \(x \to -\infty\). Por tanto, tiene la asíntota horizontal \(y = 0\) por ambos lados.
Gráfica de la función:



El límite de la base y el del exponente son

Por tanto,

El resultado es infinito porque la base es mayor que 1.


Eliminamos el signo negativo del exponente escribiendo la fracción inversa:

El límite de la base es

Por tanto, como 1/4 es menor que 1, el límite es 0:



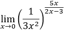
Tenemos la indeterminación 1 elevado a infinito:

Aplicamos la fórmula para la indeterminación:

Gráfica de la función:



Tenemos la indeterminación 1 elevado a infinito:

Aplicamos la fórmula:



Tenemos la indeterminación infinito partido infinito:

Sin embargo, como la función exponencial \(e^x\) crece más rápido que un polinomio, afecta más al límite:

Nota: como la potencia \(x^2\) crece más rápido que \(x\), el límite de \(x/(1-x^2)\) es 0. Lo mismo ocurre si cambiamos \(x^2\) por \(e^x\). El razonamiento es el mismo.


















































Cálculo de límites paso a paso, con y sin indeterminaciones - © matesfacil.com
Matesfacil.com
by J. Llopis is licensed under a
Creative
Commons Attribution-NonCommercial 4.0 International License.