logotipo matesfacil

Test I sobre progresiones

Contenido de esta página:

  • Introducción
  • Test online (25 preguntas sobre progresiones)

1. Introducción

En esta página tenemos un test básico sobre progresiones o sucesiones. Los conceptos que el alumno debe conocer son los siguientes:

  • Sucesión creciente, decreciente, constante y alternada.
  • Término general de una sucesión.
  • Sucesión aritmética y sucesión geométrica.
  • Diferencia (y razón) de una sucesión.
  • Suma de los \(n\) primeros términos de una sucesión.
  • Suma de todos los términos de una sucesión geométrica.

Cada pregunta contiene una breve explicación.

Para ver las fórmulas o problemas más difíciles, visiten la página Problemas resueltos de progresiones.

2. Test online

Escoger la opción correcta en todas las preguntas.

Pregunta 1

El conjunto de números impares, {1, 3, 5, 7,...} puede considerarse como una progresión...

aritmética con diferencia \(d = 2\).
geométrica con razón \(r = 2\).
ni aritmética ni geométrica.

Razonamiento:

Mostrar

Pregunta 2

El conjunto de números {2, 4, 6} es una progresión...

aritmética con diferencia \(d = 3\).
geométrica con razón \(r = 2\) .
aritmética y finita.

Razonamiento:

Mostrar

Pregunta 3

El conjunto de números racionales {1, 3/2, 2, 5/2, 3,... } es una progresión...

aritmética con diferencia \(d = 1/2\).
geométrica con razón \(r = 1/2\).
ni aritmética ni geométrica.

Razonamiento:

Mostrar

Pregunta 4

La sucesión 2, 5, 7, 9, 10, 11,... es una sucesión...

aritmética.
geométrica.
ni aritmética ni geométrica.

Razonamiento:

Mostrar

Pregunta 5

La sucesión 1, 5, 25, 125, 625,... es una sucesión...

aritmética con diferencia \( d = 5\).
geométrica con razón \(r = 5\).
ni aritmética ni geométrica.

Razonamiento:

Mostrar


Pregunta 6

Si el término general de una sucesión es

Test en línea sobre progresiones o sucesiones. Conceptos básicos: término general, sucesión aritmética y geométrica, diferencia, razón, suma, creciente, decreciente, alternada... Con razonamiento en todas las preguntas. Recursos TIC de matemáticas para secundaria (ESO) y Bachillerato.

¿cuáles son el primer y el tercer término?

\(a_1 = -1\) y \(a_3 = 8\).
\(a_1 = 2\) y \(a_3 = 8\).
\(a_1 = 2\) y \(a_3 = -1\).

Razonamiento:

Mostrar

Pregunta 7

Si el término general de una sucesión es

Test en línea sobre progresiones o sucesiones. Conceptos básicos: término general, sucesión aritmética y geométrica, diferencia, razón, suma, creciente, decreciente, alternada... Con razonamiento en todas las preguntas. Recursos TIC de matemáticas para secundaria (ESO) y Bachillerato.

¿cuáles son el primer y el tercer término?

\(a_1 = -2\) y \(a_3 = -8\).

\(a_1 = 2\) y \(a_3 = 8\).

.
\(a_1 = -2\) y \(a_3 = 8\).

Razonamiento:

Mostrar

Pregunta 8

¿Cuál es el término general de la sucesión -2, -5, -8,...?

\(a_n = 3n-1\).
\(a_n = (-2)^n\) .
\(a_n = 1-3n\).

Razonamiento:

Mostrar

Pregunta 9

Una sucesión es estrictamente creciente cuando...

\( a_n > a_{n+1}\).
\(a_n < a_{n+1}\).
\( a_n \leq a_{n+1}\).

Razonamiento:

Mostrar

Pregunta 10

¿Cuándo se dice que una sucesión es alternada?

Cuando no es aritmética ni geométrica.
Cuando todos los términos tienen el mismo signo.
Cuando el signo de cada término es distinto al signo del término que le precede.

Razonamiento:

Mostrar

Pregunta 11

¿Cuándo se dice que una sucesión es constante?

Cuando no es aritmética ni geométrica.

Cuando no es estrictamente creciente ni estrictamente decreciente.

.
Cuando el signo de cada término es distinto al signo del término que le precede.

Razonamiento:

Mostrar

Pregunta 12

Si una sucesión es aritmética y constante, entonces...

su diferencia es \(d = 0\).
su diferencia es \(d = 1\).
su diferencia es negativa (\(d < 0\)).

Razonamiento:

Mostrar

Pregunta 13

Si una sucesión es geométrica y constante, entonces...

su razón es \(r = 0\).
su razón es \(r = 1\).
su razón es negativa (\(r < 0\)).

Razonamiento:

Mostrar

Pregunta 14

La sucesión cuyo término general es

Test en línea sobre progresiones o sucesiones. Conceptos básicos: término general, sucesión aritmética y geométrica, diferencia, razón, suma, creciente, decreciente, alternada... Con razonamiento en todas las preguntas. Recursos TIC de matemáticas para secundaria (ESO) y Bachillerato.

es una sucesión...

creciente.
decreciente.
alternada.

Razonamiento:

Mostrar

Pregunta 15

Si una progresión es aritmética y estrictamente creciente (\(a_{n+1}> a_n\)), su diferencia...

siempre es positiva (\(d >0\)).
siempre es negativa (\(d < 0\)).
puede ser positiva o negativa.

Razonamiento:

Mostrar

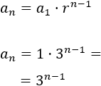
Pregunta 16

El término general de la sucesión creciente \(a_1 = 1\), \(a_2 = 3\), \(a_3 = 9\),... es...

\( a_n = 3^n\)
\( a_n = 3^{n-1}\)
\(a_n = 3^{n+1}\)

Razonamiento:

Mostrar

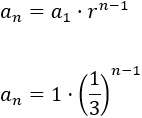
Pregunta 17

El término general de la sucesión decreciente \(a_1 = 1\), \(a_2 = 1/3\), \(a_3 = 1/9\),... es...

\( a_n = \left(\frac{1}{3} \right)^n\)
\( a_n = \left(\frac{1}{3} \right)^{n+1} \)
\(a_n = 3^{1-n}\)

Razonamiento:

Mostrar

Pregunta 18

Si una progresión de números positivos es geométrica y estrictamente creciente (\(a_{n+1}> a_n\)), su razón...

siempre es positiva (\(r > 0\)).
siempre es negativa (\(r < 0\)).
siempre es mayor que la unidad (\(r > 1\)).

Razonamiento:

Mostrar

Pregunta 19

En una sucesión geométrica con razón \(-1< r < 0\), ¿cuándo se puede calcular la suma de todos los términos que la conforman?

Siempre.
Nunca.
Cuando es finita.

Razonamiento:

Mostrar

Pregunta 20

Si consideramos 2 como el primer número par, ¿cuánto suman los 20 primeros números pares?

Suman 320.
Suman 246.
Suman 420.

Razonamiento:

Mostrar

Pregunta 21

La suma de los 5 primeros términos de la sucesión geométrica con razón \(r = 2\) y primer término \(a_1 = 5\) es...

\( S_5 = 155\)
\( S_5 = 515\)
\( S_5 = 551\)

Razonamiento:

Mostrar

Pregunta 22

La suma de los 5 primeros términos de la sucesión geométrica con razón \(r = 1\) y primer término \(a_1 = 1\) es...

\( S_5 = 1\)
\( S_5 = 5\)
\( S_5 = 15\)

Razonamiento:

Mostrar

Pregunta 23

La suma de todos los términos de la sucesión geométrica con razón \( r = 0.5\) y primer término \(a_1 = 100\) es...

\( S_\infty = 2.401\)
\( S_\infty = 200\)
\( S_\infty = \infty \)

Razonamiento:

Mostrar

Pregunta 24

El término general de una sucesión es

Test en línea sobre progresiones o sucesiones. Conceptos básicos: término general, sucesión aritmética y geométrica, diferencia, razón, suma, creciente, decreciente, alternada... Con razonamiento en todas las preguntas. Recursos TIC de matemáticas para secundaria (ESO) y Bachillerato.

Esta sucesión...

es aritmética.
es geométrica.
no es aritmética ni geométrica.

Razonamiento:

Mostrar

Pregunta 25

El término general de una sucesión es

Test en línea sobre progresiones o sucesiones. Conceptos básicos: término general, sucesión aritmética y geométrica, diferencia, razón, suma, creciente, decreciente, alternada... Con razonamiento en todas las preguntas. Recursos TIC de matemáticas para secundaria (ESO) y Bachillerato.

Esta sucesión...

es aritmética.
es geométrica.
no es aritmética ni geométrica.

Razonamiento:

Mostrar

Enlace: Introducción a las progresiones, con ejemplos y problemas (PyE)


acceso al foro