Contenido de esta página:
Esta página está dedicada exclusivamente a las sucesiones geométricas. Recordaremos el concepto de sucesión geométrica y proporcionaremos sus fórmulas. Al final de la página resolveremos 15 problemas de los conceptos vistos.
Temas relacionados:

Una sucesión geométrica (o progresión geométrica) es una sucesión en la que cada término \(a_n\) se obtiene multiplicando al término anterior \(a_{n-1}\) por un número \(r\) llamado razón.
La razón de una sucesión geométrica se denota por \(r\) y debe ser constante en toda la sucesión.
Ejemplo
La sucesión de las potencias de 2 es una sucesión geométrica con razón \(r=2\):

El término general de esta sucesión es

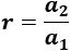
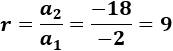
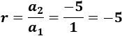
La razón de una progresión geométrica se calcula dividiendo términos consecutivos:

Ejemplo
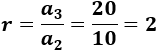
Calculamos la razón de la siguiente sucesión geométrica:

Dividimos el segundo término entre el primero:

Comprobamos que la razón es constante:

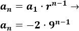
El término general de una sucesión geométrica se calcula a partir del primer término \(a_1\) y de la razón \(r\):

El término general permite calcular cualquier término de la sucesión sin necesidad de calcular los anteriores.
Ejemplo
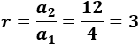
Calculamos el término general de la siguiente progresión geométrica:

La razón de la sucesión es \(r=3\) ya que

El término general de la sucesión es

La monotonía de una sucesión geométrica depende del signo del primer término y del valor de la razón:
En cualquier caso, si \(r=1\), la sucesión es constante; y si \(r<0\), es alternada.
Las progresiones alternadas son aquellas en las que cada término tiene el signo contrario al del término que le precede.

Para sumar los primeros \(n\) términos de una progresión geométrica disponemos de varias fórmulas:
Primera fórmula:

Segunda fórmula:

Nota: la segunda fórmula se ha calculado utilizando la fórmula del término general en la primera fórmula de la suma.
Nosotros utilizaremos la primera en los problemas.
Cuando la razón de la progresión es \(|r|<1\) se pueden sumar todos los términos mediante la fórmula


Determinar la razón de las siguientes progresiones geométricas:

¿Cuál de las siguientes sucesiones no es geométrica?

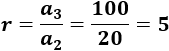
Calcular la razón de las siguientes progresiones decrecientes:

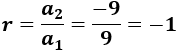
Calcular la razón de las siguientes progresiones alternadas:

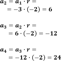
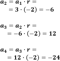
Calcular los tres siguientes términos de las sucesiones a partir de los datos dados:
Determinar si son crecientes, decrecientes o alternadas.

Calcular el término general de las siguientes progresiones geométricas:
El término general de una sucesión geométrica es

Necesitamos el primer término y la razón para calcularlo.
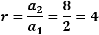
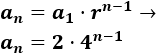
2, 8, 32, 128,...
Calculamos la razón dividiendo el segundo término entre el primero:

Por tanto, el término general es

Podemos simplificar la fórmula aplicando las propiedades de las potencias:

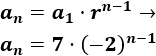
\(a_1=2\), \(r=6\)
El término general es

También podemos escribir la fórmula como

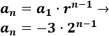
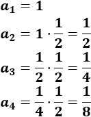
\(a_1=-3\), \(a_2=-6\)
Calculamos la razón dividiendo los términos:

El término general es


Calcular el término general de las siguientes progresiones geométricas:

Dada la progresión
Contestar:

Calcular el término general de las siguientes progresiones geométricas:
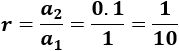
1, 0.1, 0.01, 0.001,...
Calculamos la razón:

Por tanto, el término general es

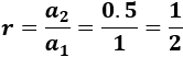
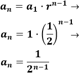
1, 0.5, 0.25, 0.125,...
La razón es

Y el término general es

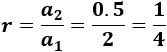
2, 0.5, 0.125, 0.03125,...
Calculamos la razón:

El término general es

Podemos simplificar más:


Calcular el término general de la progresión geométrica
$$\frac{3}{5},\ \frac{6}{25},\ \frac{12}{125},\ ... $$

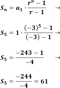
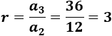
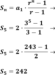
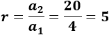
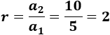
Calcular la suma de los 5 primeros términos de las siguientes sucesiones geométricas (utilizando la fórmula para la suma):

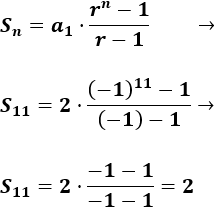
Calcular la suma de los 11 primeros términos de las siguientes progresiones alternadas:

Sumar todos los términos de la sucesión
$$1,\ \frac{1}{5},\ \frac{1}{25},\ ... $$

Sumar todos los términos de la progresión
$$1, \frac{3}{4},\ \frac{9}{16},\ \frac{27}{64},\ ... $$

Sumar todos los términos de la sucesión