logotipo matesfacil

Producto y cociente de números complejos

Contenido de esta página:

  1. Conceptos básicos
  2. Suma y resta de complejos
  3. Producto de complejos
  4. Inverso y cociente de complejos
  5. Calculadora online para sumar, restar, multiplicar y dividir números complejos
  6. 10 Problemas resueltos de productos, cocientes y potencias de complejos

Nota: en esta página vamos a trabajar con complejos en su forma binómica.

Enlace: índice de calculadoras.

1. Conceptos básicos

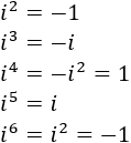
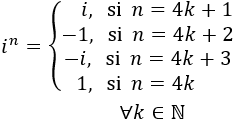
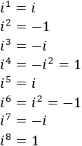
La unidad imaginaria \(i\) representa a la raíz \(\sqrt{-1}\) y, por tanto, sus primeras potencias son

Calculadora online para sumar, restar, multiplicar y dividir números complejos en forma binómica. Incluye una introducción con las fórmulas de las operaciones y 10 problemas resueltos de productos, cocientes y potencias de números complejos. Matemáticas para bachillerato y universidad. TIC

Un número complejo \(z\) se define (en su forma binómica) como \(z=a+bi\) ó \(z = a+b·i\), siendo \(a\) y \(b\) números reales.

La parte real de \(z\) es \(a\) y la parte imaginaria es \(b\).

2. Suma y resta de complejos

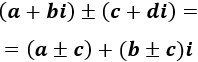
La suma y la resta de dos complejos se definen como

Calculadora online para sumar, restar, multiplicar y dividir números complejos en forma binómica. Incluye una introducción con las fórmulas de las operaciones y 10 problemas resueltos de productos, cocientes y potencias de números complejos. Matemáticas para bachillerato y universidad. TIC

Es decir, la suma (resta) se calcula sumando (restando) las partes reales y las partes imaginarias.

El producto de un real \(\alpha\) por un complejo \(z = a+bi\) es el complejo

Calculadora online para sumar, restar, multiplicar y dividir números complejos en forma binómica. Incluye una introducción con las fórmulas de las operaciones y 10 problemas resueltos de productos, cocientes y potencias de números complejos. Matemáticas para bachillerato y universidad. TIC

Nota técnica: en realidad, si tenemos en cuenta que los reales son complejos con parte imaginaria igual a 0, este producto es una consecuencia de la definición del producto de dos complejos.

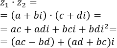
3. Producto de complejos

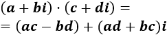
Sean los complejos \(z_1 = a+bi\) y \(z_2 = c+di\). Entonces, su producto es

Calculadora online para sumar, restar, multiplicar y dividir números complejos en forma binómica. Incluye una introducción con las fórmulas de las operaciones y 10 problemas resueltos de productos, cocientes y potencias de números complejos. Matemáticas para bachillerato y universidad. TIC

El producto es conmutativo y asociativo.

¿Por qué se calcula así el producto?

Mostrar texto

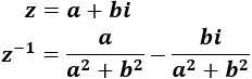
4. Inverso y cociente de complejos

Inverso:

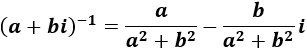
El inverso de un complejo \(z_1 = a+bi \neq 0\) se define como

Calculadora online para sumar, restar, multiplicar y dividir números complejos en forma binómica. Incluye una introducción con las fórmulas de las operaciones y 10 problemas resueltos de productos, cocientes y potencias de números complejos. Matemáticas para bachillerato y universidad. TIC

Que es lo mismo que

Calculadora online para sumar, restar, multiplicar y dividir números complejos en forma binómica. Incluye una introducción con las fórmulas de las operaciones y 10 problemas resueltos de productos, cocientes y potencias de números complejos. Matemáticas para bachillerato y universidad. TIC

Es decir, el inverso de un complejo es su conjugado dividido entre el cuadrado de su módulo.

El inverso se define de este modo para que el producto \(z·z^{-1}\) sea 1 (Problema 2).

Cociente:

El cociente de dos complejos \(z_1 = a+bi\) y \(z_2 = c+di\neq 0\) es

Calculadora online para sumar, restar, multiplicar y dividir números complejos en forma binómica. Incluye una introducción con las fórmulas de las operaciones y 10 problemas resueltos de productos, cocientes y potencias de números complejos. Matemáticas para bachillerato y universidad. TIC

¿Por qué se calcula así el cociente?

Mostrar texto

5. Calculadora para sumar, restar, multiplicar y dividir complejos

Las entradas que admiten las calculadoras son:

  • Números enteros, como 2.
  • Números decimales (exactos) utilizando un punto ".", como 2.345.
  • Fracciones escritas con la barra "/", como 23/15.
  • No se admiten signos de operaciones, raíces, parámetros, constantes, variables o espacios.

Calculadora:

\(z_1 = \)\(+\)\(·i\)

\(z_2 = \)\(+\)\(·i\)


6. Problemas resueltos

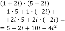
Problema 1

Calcular el siguiente producto de complejos sin aplicar la fórmula:

Calculadora online para sumar, restar, multiplicar y dividir números complejos en forma binómica. Incluye una introducción con las fórmulas de las operaciones y 10 problemas resueltos de productos, cocientes y potencias de números complejos. Matemáticas para bachillerato y universidad. TIC

Ver solución

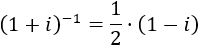
Problema 2

Comprobar que el producto de un complejo \(z\neq 0\) por su inverso \(z^{-1}\) es la unidad:

Calculadora online para sumar, restar, multiplicar y dividir números complejos en forma binómica. Incluye una introducción con las fórmulas de las operaciones y 10 problemas resueltos de productos, cocientes y potencias de números complejos. Matemáticas para bachillerato y universidad. TIC

Ver solución

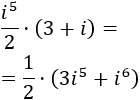
Problema 3

Calcular el siguiente cociente de complejos sin aplicar la fórmula:

Calculadora online para sumar, restar, multiplicar y dividir números complejos en forma binómica. Incluye una introducción con las fórmulas de las operaciones y 10 problemas resueltos de productos, cocientes y potencias de números complejos. Matemáticas para bachillerato y universidad. TIC

Ver solución


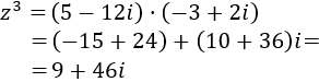
Problema 4

Calcular el cubo \(z^3\) del complejo

Calculadora online para sumar, restar, multiplicar y dividir números complejos en forma binómica. Incluye una introducción con las fórmulas de las operaciones y 10 problemas resueltos de productos, cocientes y potencias de números complejos. Matemáticas para bachillerato y universidad. TIC

Ver solución

Problema 5

Calcular el siguiente cociente de complejos:

Calculadora online para sumar, restar, multiplicar y dividir números complejos en forma binómica. Incluye una introducción con las fórmulas de las operaciones y 10 problemas resueltos de productos, cocientes y potencias de números complejos. Matemáticas para bachillerato y universidad. TIC

Ver solución

Problema 6

Calcular el siguiente producto de complejos:

Calculadora online para sumar, restar, multiplicar y dividir números complejos en forma binómica. Incluye una introducción con las fórmulas de las operaciones y 10 problemas resueltos de productos, cocientes y potencias de números complejos. Matemáticas para bachillerato y universidad. TIC

Ver solución

Problema 7

Calcular la potencia \(n-\)ésima de la unidad imaginaria, es decir, \(i^n\).

Ver solución

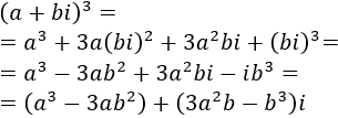
Problema 8

Obtener una fórmula para calcular el cubo de un complejo en forma binómica, es decir, para calcular \((a+bi)^3\).

Ver solución

Problema 9

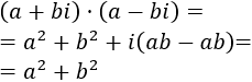
Calcular el producto de un complejo por su conjugado, es decir,

Calculadora online para sumar, restar, multiplicar y dividir números complejos en forma binómica. Incluye una introducción con las fórmulas de las operaciones y 10 problemas resueltos de productos, cocientes y potencias de números complejos. Matemáticas para bachillerato y universidad. TIC

Ver solución

Problema 10

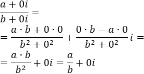
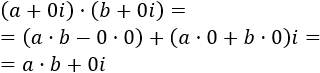
Comprobar que el producto y el cociente de complejos no afecta al producto y al cociente de reales. Es decir, comprobar que el resultado del producto y del cociente de los números reales no cambia si se consideran como números complejos (con parte imaginaria nula).

Ver solución




acceso al foro

ejercicios interactivos de matemáticas


Producto y cociente de números complejos - © - matesfacil.com

Creative Commons License
Matesfacil.com by J. Llopis is licensed under a Creative Commons Attribution-NonCommercial 4.0 International License.