logotipo matesfacil

Operaciones entre Sucesiones

En esta página estudiamos las operaciones entre sucesiones y su convergencia y resolvemos 10 problemas. No daremos demasiada importancia a la convergencia de las operaciones entre dos sucesiones divergentes.

Contenido de esta página:

  1. Suma
  2. Diferencia o resta
  3. Producto
  4. Cociente
  5. Inversa
  6. 10 problemas resueltos

Temas relacionados:

Nota previa: si decimos que \(a_n\) diverge, nos referimos a que su límite es más infinito o menos infinito. Si decimos que converge, nos referimos a que su límite es un número finito.

Notación: para indicar que la sucesión \(a_n\) tiene límite igual a \(A\) escribiremos

Operaciones entre sucesiones: suma, resta, producto, cociente e inversa y su convergencia. Teoría, ejemplos y problemas resueltos de sucesiones. ESO y Bachillerato

O bien,

Operaciones entre sucesiones: suma, resta, producto, cociente e inversa y su convergencia. Teoría, ejemplos y problemas resueltos de sucesiones. ESO y Bachillerato

1. Suma

Sean \(a_n\) y \(b_n\) dos sucesiones, entonces su suma es la sucesión \(c_n\) definida por

Operaciones entre sucesiones: suma, resta, producto, cociente e inversa y su convergencia. Teoría, ejemplos y problemas resueltos de sucesiones. ESO y Bachillerato

Convergencia de la suma

Si las sucesiones \(a_n\) y \(b_n\) son convergentes a \(A\) y a \(B\), respectivamente, entonces \(c_n=a_n+b_n\) converge a \(A+B\):

Operaciones entre sucesiones: suma, resta, producto, cociente e inversa y su convergencia. Teoría, ejemplos y problemas resueltos de sucesiones. ESO y Bachillerato

Si una o las dos sucesiones \(a_n\) y \(b_n\) son divergentes, la suma puede ser convergente o divergente.


Ver ejemplo

2. Diferencia o resta

Sean \(a_n\) y \(b_n\) dos sucesiones, entonces su resta es la sucesión \(c_n\) definida por

Operaciones entre sucesiones: suma, resta, producto, cociente e inversa y su convergencia. Teoría, ejemplos y problemas resueltos de sucesiones. ESO y Bachillerato

Convergencia de la resta

Si las sucesiones \(a_n\) y \(b_n\) son convergentes a \(A\) y a \(B\), respectivamente, entonces \(c_n=a_n-b_n\) converge a \(A-B\):

Operaciones entre sucesiones: suma, resta, producto, cociente e inversa y su convergencia. Teoría, ejemplos y problemas resueltos de sucesiones. ESO y Bachillerato

Si una o las dos sucesiones \(a_n\) y \(b_n\) son divergentes, la resta puede ser convergente o divergente.


Ver ejemplo

3. Producto

Sean \(a_n\) y \(b_n\) dos sucesiones, entonces su producto es la sucesión \(c_n\) definida por

Operaciones entre sucesiones: suma, resta, producto, cociente e inversa y su convergencia. Teoría, ejemplos y problemas resueltos de sucesiones. ESO y Bachillerato

Convergencia del producto

Si las sucesiones \(a_n\) y \(b_n\) son convergentes a \(A\) y a \(B\), respectivamente, entonces \(c_n=a_n\cdot b_n\) converge a \(A\cdot B\):

Operaciones entre sucesiones: suma, resta, producto, cociente e inversa y su convergencia. Teoría, ejemplos y problemas resueltos de sucesiones. ESO y Bachillerato

  • Si \(a_n\) converge a \(L\neq 0\) y \(b_n\) diverge, su producto es divergente.

  • Si \(a_n\) converge a \(L=0\) y \(b_n\) diverge, su producto puede ser convergente o divergente.

  • Si las sucesiones \(a_n\) y \(b_n\) son divergentes, su producto es divergente.


Ver ejemplo

4. Cociente

Sean \(a_n\) y \(b_n\) dos sucesiones siendo \(b_n \neq 0\) para todo \(n\) natural. Entonces, su cociente es la sucesión \(c_n\) definida por

Operaciones entre sucesiones: suma, resta, producto, cociente e inversa y su convergencia. Teoría, ejemplos y problemas resueltos de sucesiones. ESO y Bachillerato

Convergencia del cociente

Si las sucesiones \(a_n\) y \(b_n\) son convergentes a \(A\) y a \(B\neq 0\), respectivamente, entonces \(c_n=a_n / b_n\) converge a \(A/B\):

Operaciones entre sucesiones: suma, resta, producto, cociente e inversa y su convergencia. Teoría, ejemplos y problemas resueltos de sucesiones. ESO y Bachillerato

  • Si \(a_n\) converge y \(b_n\) diverge, su cociente es convergente a 0.

  • Si \(a_n\) converge y \(b_n\) converge a \(L= 0\), su cociente diverge.

  • Si \(a_n\) diverge y \(b_n\) converge a \(L\neq 0\), su cociente diverge.

  • Si \(a_n\) diverge y \(b_n\) converge a 0, su cociente puede ser convergente o divergente.

  • Si las sucesiones \(a_n\) y \(b_n\) son divergentes, su cociente puede ser convergente o divergente.


Ver ejemplo

5. Inversa

Si una sucesión \(a_n\) es distinta de 0 para todo \(n\) natural, se define su inversa como la sucesión

Operaciones entre sucesiones: suma, resta, producto, cociente e inversa y su convergencia. Teoría, ejemplos y problemas resueltos de sucesiones. ESO y Bachillerato

Convergencia de la inversa

  • Si \(a_n\) converge a \(A\neq 0\), su inversa converge a \(1/A\).

  • Si \(a_n\) diverge, entonces su inversa converge a 0.

  • Si \(a_n\) converge a 0, entonces su inversa diverge.

X

6. Problemas Resueltos

Problema 1

Calcular el término general \(c_n\) de la suma de las sucesiones, completar la siguiente tabla y calcular el décimo término de la suma:

Operaciones entre sucesiones: suma, resta, producto, cociente e inversa y su convergencia. Teoría, ejemplos y problemas resueltos de sucesiones. ESO y Bachillerato

Ver solución

Problema 2

Calcular el término general \(c_n\) de la resta de las sucesiones, completar la siguiente tabla y calcular el décimo término de la resta:

Operaciones entre sucesiones: suma, resta, producto, cociente e inversa y su convergencia. Teoría, ejemplos y problemas resueltos de sucesiones. ESO y Bachillerato

Ver solución

Problema 3

Calcular el término general \(c_n\) del producto de las sucesiones, completar la siguiente tabla y calcular el décimo término del producto:

Operaciones entre sucesiones: suma, resta, producto, cociente e inversa y su convergencia. Teoría, ejemplos y problemas resueltos de sucesiones. ESO y Bachillerato

Ver solución

Problema 4

Calcular el término general \(c_n\) del cociente de las sucesiones, completar la siguiente tabla y calcular el décimo término del cociente:

Operaciones entre sucesiones: suma, resta, producto, cociente e inversa y su convergencia. Teoría, ejemplos y problemas resueltos de sucesiones. ESO y Bachillerato

Ver solución

Problema 5

Calcular el término general \(1/a_n\) de la inversa de la sucesión, completar la siguiente tabla y calcular el décimo término de la inversa:

Operaciones entre sucesiones: suma, resta, producto, cociente e inversa y su convergencia. Teoría, ejemplos y problemas resueltos de sucesiones. ESO y Bachillerato

Ver solución


Problema 6

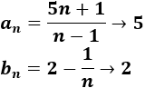
Sean las sucesiones

Operaciones entre sucesiones: suma, resta, producto, cociente e inversa y su convergencia. Teoría, ejemplos y problemas resueltos de sucesiones. ESO y Bachillerato

Calcular los límites de

  • La suma \(a_n+b_n\).

  • La resta \(a_n-b_n\).

  • El producto \(a_n·b_n\).

  • El cociente \(a_n/b_n\).

Ver solución

Problema 7

Vimos en un ejemplo que

  • la sucesión \(a_n=\frac{1}{n^2}\) es convergente a 0,

  • la sucesión \(b_n=n\) es divergente y

  • el producto \(a_n·b_n=1/n\) es convergente a 0.

¿También es convergente el producto de \(a_n=1/n\) y \(b_n=n^2\)?

Ver solución

Problema 8

Sean las sucesiones

Operaciones entre sucesiones: suma, resta, producto, cociente e inversa y su convergencia. Teoría, ejemplos y problemas resueltos de sucesiones. ESO y Bachillerato

Calcular los límites de

  • La suma \(a_n+b_n\).

  • La resta \(a_n-b_n\).

  • El producto \(a_n·b_n\).

  • El cociente \(a_n/b_n\).

Ver solución

Problema 9

Calcular el límite de la inversa de las siguientes sucesiones:

  • \( a_n=1/n\rightarrow 0 \)

  • \(b_n=5+1/n\rightarrow 5\)

  • \(c_n=7n\rightarrow +\infty \)

Ver solución

Problema 10

Sean las sucesiones

Operaciones entre sucesiones: suma, resta, producto, cociente e inversa y su convergencia. Teoría, ejemplos y problemas resueltos de sucesiones. ESO y Bachillerato

Calcular los límites de

  • La suma \(a_n+b_n\).

  • La resta \(a_n-b_n\).

  • El producto \(a_n·b_n\).

  • El cociente \(a_n/b_n\).

Ver solución





acceso al foro

ejercicios interactivos de matemáticas