Contenido de esta página:
Introducción
12 Problemas Resueltos
En esta página vamos a calcular ecuaciones para que tengan determinadas soluciones.
Normalmente, aprendemos a resolver ecuaciones, pero no a encontrar ecuaciones que tengan una determinada solución. Quizás, no sea una tarea demasiado útil matemáticamente hablando, pero sí lo es, por ejemplo, para los profesores.
En esta página vamos a calcular ecuaciones polinómicas con coeficientes reales (o enteros, en algunos problemas). Es decir, las ecuaciones deben tener la forma

siendo \(n\) el grado de la ecuación, \(a_n \neq 0\) y \(a_k \in \mathbb{R}\) los coeficientes de la ecuación.
Por ejemplo, en el problema 8 vamos a calcular una ecuación que tenga al menos la solución
$$ x = \sqrt[3]{1+\sqrt{2}} $$
Nota: en los problemas hablamos de ecuaciones y soluciones, pero podemos cambiarlo por polinomios y raíces.
El método de resolución que seguiremos en la mayoría de los problemas es muy simple:
Si \(a\) debe ser una solución de la ecuación,
escribimos la ecuación \(x = a\)
operamos en la ecuación anterior hasta obtener una ecuación con la forma deseada.
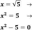
Problema 1
Encontrar una ecuación de primer grado y una de segundo grado para las que \(a = \sqrt{5}\) sea una solución.
Problema 2
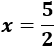
Encontrar una ecuación de primer grado y una de segundo grado con coeficientes enteros para las que \(b = \frac{5}{2}\) sea una solución.
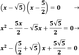
Problema 3
A partir de los problemas anteriores, hallar una ecuación de segundo grado y una de tercer grado para las que \(a\) y \(b\) sean soluciones:
$$a = \sqrt{5}$$
$$b =\frac{5}{2}$$
Problema 4
¿Hay alguna ecuación de primer grado con coeficientes enteros cuya solución sea \(a = \sqrt{3}\)?
Problema 5
Encontrar una ecuación de segundo grado con coeficientes enteros para la que \(a\) sea una solución:
$$ a = 1+\sqrt{3}$$
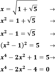
Problema 6
Encontrar una ecuación con coeficientes enteros para la que \(a\) sea una solución:
$$ a = \sqrt{1+\sqrt{5}}$$
Problema 7
Encontrar una ecuación con coeficientes enteros cuyas soluciones sean \(a_1 = 1\), \(a_2 = 2\) y \(a_3 = -1\).
Problema 8
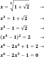
Hallar una ecuación con coeficientes enteros para la que \(a\) sea una solución:
$$ a = \sqrt[3]{1+\sqrt{2}}$$
Problema 9
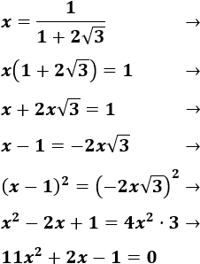
Encontrar una ecuación de segundo grado con coeficientes enteros para la que \(a\) sea una solución:
$$ a = \frac{1}{1+2\sqrt{3}} $$
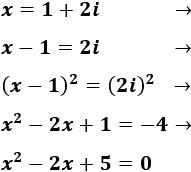
Problema 10
Hallar una ecuación de segundo grado con coeficientes enteros para la que el número complejo \(a = 1+2i\) sea una solución.
Problema 11
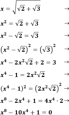
Hallar una ecuación con coeficientes enteros para la que \(a\) sea una solución:
$$ a = \sqrt{\sqrt{2}+\sqrt{3}} $$
Problema 12
¿Es posible encontrar una ecuación de primer grado con coeficientes reales y cuya solución sea un número complejo?
¿Es posible encontrar una ecuación de segundo grado con coeficientes reales con una solución real y una compleja?
Encontrar ecuaciones a partir de las soluciones - (c) - matesfacil.com
Matesfacil.com
by J. Llopis is licensed under a
Creative
Commons Attribution-NonCommercial 4.0 International License.