Contenido de esta página:
Cuando el integrando está formado por un producto (o una división, que podemos tratar como un producto) se recomienda utilizar el método de integración por partes que consiste en aplicar la siguiente fórmula:
Regla mnemotécnica: Un Día Vi Una Vaca MENOS Flaca Vestida De Uniforme (UDV = UV - FVDU).
Aunque se trata de un método simple, hay que aplicarlo correctamente.
Escoger adecuadamente \(u\) y \(dv\):
Una mala elección puede complicar más el integrando.
Supongamos que tenemos un producto en el que uno de sus factores es un monomio (por ejemplo \(x^3\)). Si consideramos \(dv = x^3\). Entonces, integrando tendremos que \(v = x^4/4\), con lo que hemos aumentado el grado del exponente y esto suele suponer un paso atrás.
Normalmente, se escogen los monomios (o polinomios) como \(u\) para reducir su exponente al derivarlos. Cuando el exponente es 0, el monomio es igual a 1 y el integrando es más fácil.
Algo parecido ocurre con las fracciones (como \(1/x\)). Si consideramos \(dv = 1/x\), tendremos \(v = \log|x|\) y, probablemente, obtendremos una integral más difícil.
Como norma general, llamaremos \(u\) a las potencias y logaritmos y \(dv\) a las exponenciales, fracciones y funciones trigonométricas.
No cambiar la elección:
A veces tenemos que aplicar el método más de una vez para calcular una misma integral.
En estas integrales, al aplicar el método por n-ésima vez, tenemos que llamar \(u\) al resultado \(du\) del paso anterior y \(dv\) al resultado \(v\). Si no lo hacemos así, como escoger una opción u otra supone integrar o derivar, estaremos deshaciendo el paso anterior y no avanzaremos.
Integrales cíclicas:
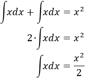
En ocasiones, tenemos que despejar la propia integral de la igualdad obtenida para poder calcularla. Por ejemplo, podemos aplicar integración por partes para calcular la integral \(\int{xdx}\), considerando \(u = x\) y \(dv = dx\). Entonces, obtenemos
Observad que tenemos la misma integral en ambos lados, así que podemos operar como si fuese una ecuación (como \( x = a - x\), de donde \(x = a/2\)), despejando en un lado:
Otros ejemplos de integrales cíclicas: Integral 10, Integral 17 e Integral 19.
No hay que olvidar la constante de integración, \(C\in\mathbb{R}\), al final de cada integral.

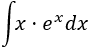
Tenemos el producto \(x\cdot e^x\).
Observad que la exponencial no cambia al derivar ni al integrar, así que no importa si le asignamos \(u\) ó \(dv\).
No ocurre lo mismo con \(x\):
Por tanto, la elección más apropiada es \(u = x\) y \(du = dx\).
Derivamos \(u\) para calcular \(du\):
Integramos \(dv\) para calcular \(v\):
Aplicamos la fórmula de integración por partes:
Finalmente, resolvemos la nueva integral (la de la exponencial) y añadimos la constante de integración \(C\in \mathbb{R}\):
Nota: como ya hemos dicho, es importante escoger \(x = u\) para reducir el grado del monomio al derivar. Si por el contrario hubiésemos escogido \(x = dv\), entonces \(v = \frac{x^2}{2}\), aumentando el grado (de 1 a 2) y complicando más la integral, pues el factor de la exponencial se mantiene igual y nos aparece la integral
$$ \int {\frac{x^2}{2}\cdot e^x }dx$$

Tenemos el producto \(x\cdot \cos(x)\).
Observad que no importa si \(\cos(x)\) es \(u\) ó \(dv\), ya que obtenemos un seno tanto si derivamos como si integramos. Sin embargo, ya sabemos que es mejor considerar \(u = x\) para reducir su grado.
Derivamos \(u = x\) para calcular \(du\):
Integramos \(dv = \cos(x)dx\) para calcular \(v\):
Aplicamos la fórmula de integración por partes:
Solo queda calcular la integral de \(\sin(x)\), que es \(-\cos(x)\), y añadir la constante de integración \(C\in\mathbb{R}\):
Nota: si hubiésemos tomado la elección \(u = \cos(x)\) y \(dv = xdx\), entonces tendríamos \(du = -\sin(x)dx\) y \(v = x^2/2\). De este modo, habríamos complicado la integral ya que habría aparecido la integral
$$ \int{\frac{x^2\sin(x)}{2}}dx $$

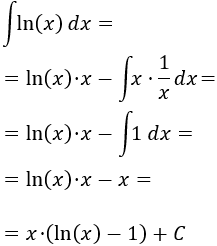
Podemos ver el integrando como un producto: \(1\cdot \ln(x)\).
En esta integral sólo hay una posibilidad de elección y debe ser \(u=\ln(x)\) y \(dv = dx\) (ya que si escogemos \(dv = \ln(x)dx\), deberíamos calcular la integral que queremos resolver para tener \(v\)).
Derivamos \(u\) para calcular \(du\):
Integramos \(dv\) para calcular \(v\):
Aplicamos la fórmula de integración por partes:

En un principio, nos interesa considerar \(u = x^2\) para reducir su exponente al derivar. Pero entonces, deberíamos integrar \(dv = \ln(x)dx\), lo cual no es una buena idea (aunque previamente hemos calculado dicha integral). Por tanto, escogemos \(u = \ln(x)\) y \(dv = x^2 dx\).
Derivamos \(u\) para calcular \(du\):
Integramos \(dv\) para calcular \(v\):
Aplicamos la fórmula de integración por partes:
En el integrando tenemos una constante (1/3) que podemos extraer y un cociente de potencias de \(x\) que podemos simplificar:

La única dificultad de esta integral es integrar la raíz cuadrada.
Como ya hemos venido diciendo, escogemos \(u = \ln(x)\) y, por tanto, \(dv = \sqrt{x}dx\).
Derivamos \(u\) para calcular \(du\):
Integramos \(dv\) para calcular \(v\) (escribiendo la raíz cuadrada como una potencia):
Aplicamos la fórmula de integración por partes:
Operamos un poco y resolvemos:

La dificultad de esta integral se debe a que debemos saber resolver integrales de funciones racionales (cociente de polinomios), además de que debemos saber la derivada de la arcotangente.
Como no es fácil de integrar la arcotangente, escogemos \(u = \arctan(x)\) y \(dv = x^2\).
Derivamos \(u\) para calcular \(du\):
Integramos \(dv\) para calcular \(v\):
Aplicamos la fórmula de integración por partes:
Ahora debemos integrar el cociente de polinomios \(x^3/(1+x^2)\).
Recordad que cuando dividimos \(p/q\) obtenemos un cociente \(c\) y un resto \(r\), de modo que \(p =q\cdot c + r\):
Dividimos la igualdad anterior entre \(q\):
Nosotros vamos a considerar \(p = x^3\) (numerador) y \(q = 1+x^2\) (denominador). Así, aplicando la identidad anterior, podremos escribir el cociente del integrando como la suma \(c + r/q\) y, de este modo, descomponer la integral en una suma de integrales más sencillas.
Necesitamos para ello calcular el cociente \(r\) y \(q\), y lo haremos efectuando la división de polinomios:
La división ha terminado, así que tenemos
Con lo que
Luego tenemos
La primera de las integrales es directa:
La segunda tiene por integrando casi la derivada de un logaritmo:
Por tanto, el resultado de la integral inicial es
Nota: en el logaritmo no es necesario el valor absoluto ya que \(1+x^2\) es siempre positivo.

La dificultad de esta integral solo consiste en que debemos aplicar integración por partes dos veces.
Integrar o derivar \(\cos(x)\) nos proporciona \(\pm \sin(x)\), así que no mejora la situación. Luego escogemos \(u = x^2\) para rebajar su grado al derivar y \(dv = cos(x) dx\).
Derivamos \(u\) para calcular \(du\):
Integramos \(dv\) para calcular \(v\):
Aplicamos la fórmula de integración por partes:
Como ya hemos indicado, debemos aplicar de nuevo integración por partes para calcular la integral obtenida. Debemos mantener la elección anterior: \(u = x\) y \(dv = \sin(x)\). En caso contrario, deshacemos el paso anterior.
Derivamos \(u\) para calcular \(du\):
Integramos \(dv\) para calcular \(v\):
Aplicamos la fórmula de integración por partes:
Por tanto, la integral inicial es

La dificultad de esta integral consiste en que debemos conocer la derivada de la tangente y que podemos escribir la tangente como el cociente de seno y coseno:
Nota: la notación \(\frac{d}{dx}f(x)\) equivale a \(f’(x)\).
En primer lugar, debemos observar que tenemos un cociente en lugar de un producto en el integrando, pero esto es fácil de solucionar:
La elección de \(u\) y \(dv\) también es clara:
Aplicamos la fórmula de integración por partes:
Escribimos la tangente como un cociente para facilitar la integración:
Luego la integral inicial es
Nota: si hubiésemos escogido \(u = 1/\cos^2(x)\) y \(dv = xdx\), entonces habríamos tenido
Huelga decir que la integral que se obtiene es más difícil que la inicial.

Si desarrollamos el producto del integrando, éste pasa a ser una suma, lo cual nos permite descomponer la integral en 3 integrales más sencillas:
La tercera de las integrales es directa:
Ahora vamos a calcular la segunda integral por partes, considerando \(u = x\) y \(dv = e^xdx\).
Derivamos \(u\) para calcular \(du\):
Integramos \(dv\) para calcular \(v\):
Aplicamos la fórmula de integración por partes:
Ahora, calculamos la primera integral considerando \(u = x^2\) y \(dv = e^xdx\).
Derivamos \(u\) para calcular \(du\):
Integramos \(dv\) para calcular \(v\):
Aplicamos la fórmula:
Observad que ya hemos calculado anteriormente la integral de \(xe^x\), así que
Luego la integral inicial es


El procedimiento, y no la integral en sí, es importante, ya que, una vez aplicada la integración por partes (dos veces), tenemos que despejar la integral como lo haríamos en una ecuación. Es una integral cíclica.
En esta integral nos es indiferente escoger una u otra función del producto del integrando para \(u\) y \(dv\). Sea, pues, por ejemplo, \(u = e^{-x}\) y \(dv = \cos(x)\).
Derivamos \(u\) para calcular \(du\):
Integramos \(dv\) para calcular \(v\):
Aplicamos la fórmula de integración por partes:
Aplicamos de nuevo integración por partes, siendo \(u = e^{-x}\) y \(dv = \sin(x)\) (ahora sí es importante esta elección, para no deshacer lo hecho).
Derivamos \(u\) para calcular \(du\):
Integramos \(dv\) para calcular \(v\):
Aplicamos la fórmula:
Por tanto, tenemos
Luego, despejando la integral en la igualdad obtenemos
Nota: hemos despejado como lo haríamos en la ecuación \(x = a - x\), obteniendo \( x = a/2\).

Clasificamos esta integral como difícil porque debemos integrar por partes dos veces y, además, tenemos que trabajar con signos y fracciones que complican las operaciones. Y, además, se trata de una integral cíclica.
Respecto a la elección de \(u\) y \(dv\), no tiene demasiada importancia ya que derivar o integrar la exponencial y el seno viene a ser lo mismo.
Sean, por ejemplo, \(u = e^{3x}\) y \(dv = \sin(5x)dx\).
Derivamos \(u\) para calcular \(du\):
Integramos \(dv\) para calcular \(v\):
Aplicamos la fórmula de integración por partes:
Aplicamos de nuevo integración por partes, con \(u = e^{3x}\) y \(dv = \cos(5x)\).
Derivamos \(u\):
Integramos \(dv\):
Luego, aplicando la fórmula,
Tenemos, entonces
Despejamos la integral:
Nota: hemos aislado la integral como lo haríamos en la ecuación \(x = a-9x/25\), obteniendo \((1+9/25)x = a\).
Entonces,
Nota: en el último paso hemos introducido el 25 en el paréntesis para evitar las fracciones.

La dificultad de esta integral se debe a que tenemos que integrar por partes dos veces y a que la resolución es extensa, con lo que es probable cometer errores de cálculo.
Podemos descomponer la integral en una suma de integrales:
Empezamos por la segunda integral, asignando \(u = x\) y \(dv = e^{-2x}\).
Calculamos \(du\):
Integramos \(dv\):
Aplicamos la fórmula:
Ahora calculamos la primera integral, tomando \(u = x^2\) y \(dv = e^{-2x}dx\).
Derivamos \(u\):
Integramos \(dv\):
Aplicamos la fórmula:
La integral de \(xe^{-2x}\) la hemos calculado, así que
Por tanto, la integral inicial es (sumamos las dos integrales calculadas multiplicadas por \(e\)):

Como integrar el logaritmo es difícil, optaremos por considerar \(u = \ln(\ln(x))\) y \(dv = 1/x dx\):
Aplicamos la fórmula:
La integral que queda es directa (es un logaritmo). Por tanto,

La mayor dificultad de esta integral es conocer la derivada/integral de una exponencial:
Integrar o derivar no afecta demasiado a la exponencial, así que nos conviene tomar \(u = x^2\) para rebajar el grado:
Aplicamos la fórmula:
Aplicamos de nuevo integración por partes:
Luego
Por tanto, la integral inicial es

Esta integral es fácil siempre que sepamos derivar el arcoseno. Como integrar el arcoseno no es una opción, tomamos
Aplicamos la fórmula de integración por partes:
La integral que queda es directa, pues es casi la derivada de la raíz del integrando (le falta el signo negativo):
Por tanto,
Luego
Integral directa (no requiere integración por partes).
Hemos añadido esta integral por la importancia de su procedimiento y porque hace falta en la siguiente integral.
Observemos que el denominador del integrando es un polinomio de grado 2, por lo que de ninguna manera el integrando puede ser la derivada de un logaritmo (haría falta un polinomio de grado 1 en el numerador).
Sin embargo, el integrando se asemeja en gran medida a la derivada de la arcotangente:
Lo que haremos es operar en el denominador del integrando para conseguir la derivada de una arcotangente.
Extraemos 3 como factor común:
Introducimos el 3 en el cuadrado en forma de raíz cuadrada:
Ahora ya podemos integrar:

Vamos a hacer una explicación previa para entender mejor el procedimiento que vamos a seguir.
Recordad que la derivada de \(1/x\) es \(-1/x^2\). De esto podemos deducir la derivada del inverso de una función \(f(x)\):
Ahora supongamos que \(f(x) = (x+1)^2+3\). Entonces, su derivada es
Esta derivada es casi nuestro integrando (sobra el -2 y falta un cuadrado), lo que nos permite considerar \(dv = -1/2·(1/f(x))'dx\) (y, por tanto,\(v = -1/2·1/f(x)\)) y \(u = x+1\).
Calculamos \(du\):
Calculamos \(v\):
Aplicamos la fórmula:
La integral que queda ya la hemos calculado anteriormente:
Por tanto,

Desde luego debemos considerar al integrando como \(u\), así que
Y \(dv = dx\), con lo que \(v = x\).
Aplicamos la fórmula:
Podemos aplicar de nuevo por partes y obtendremos la integral inicial:
Aplicamos la fórmula:
Por tanto, tenemos
De donde deducimos

La dificultad consiste en que tenemos que aplicar 3 veces integración por partes:



Será más fácil escoger la raíz como \(u\) y el coseno como \(dv\).
Calculamos \(du\) y \(v\):
Aplicamos la fórmula:
Aplicamos de nuevo integración por partes:
Por tanto,
Luego tenemos
De donde
Despejando,


Lógicamente, escogemos \(u = x^5\) y \(dv = e^x\), así que
Aplicamos la fórmula:
Ahora, deberíamos integrar por partes otras 4 veces, pero lo que hacemos es deducir, observando lo anterior, que
Por tanto, aplicando esta fórmula,
Simplificamos:
Integración por partes: ejercicios resueltos - (c) - matesfacil.com
Matesfacil.com
by J. Llopis is licensed under a
Creative
Commons Attribution-NonCommercial 4.0 International License.