Contenido de esta página:
Otros páginas de integrales
Como indica su nombre, este método de integración consiste en la aplicación de un cambio de variable para simplificar el integrando. No vamos a explicar el método formalmente, pero los pasos a seguir son los siguientes:
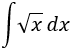
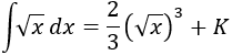
Vamos a resolver una integral muy sencilla (es una integral directa) por el método de sustitución. Consideremos la siguiente integral:

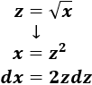
1. Buscamos un cambio de variable que sea función de \(x\), por ejemplo,

2. Aislamos \(x\) y derivamos:

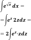
3. Sustituimos en la integral:

Observad que hemos cambiado \(\sqrt{x}\) por \(z\) y \(dx\) por \(2zdz\). Resolvemos la integral:

4. Ya sólo queda deshacer el cambio de variable:

Por tanto, la integral inicial es

Nota: no olvidemos la constante de integración (a la que hemos llamado \(K\)).
La dificultad del método es escoger un cambio útil, ya que, en caso contrario, la integral resultante puede ser de mayor dificultad. En la siguiente tabla se recogen los cambios de variable que tienen alta probabilidad de funcionar en las integrales que usualmente veremos:

El método de cambio de variable es un poco más complicado cuando se aplica en integrales definidas porque, al cambiar la variable, deben actualizarse los extremos de integración. Por ejemplo, si los extremos de la integral inicial con variable \(x\) son 0 y 1 y la nueva variable es \(z =2x\), entonces, los nuevos extremos serán 0 y 2. No obstante, una sencilla forma de evitar este problema es resolver primero la integral indefinida.
Nota previa: en alguna de las integrales necesitaremos la primitiva del cuadrado del coseno:



Atendiendo a la tabla, escogemos el cambio de variable

Con este cambio, \(e^{3x} = z^3\), así que obtendremos un cociente de polinomios.
Despejamos \(x\) aplicando logaritmos:

Derivamos para calcular \(dx\) (respecto de \(x\) en el lado izquierdo y respecto de \(z\) en el derecho):

Sustituimos en la integral y simplificamos (no olvidéis sustituir también \(dx\)):

La integral obtenida es inmediata (un logaritmo):

Deshacemos el cambio de variable:

Por tanto,

Nota: el valor absoluto ya no es necesario porque el argumento nunca es no positivo.


Como se indica en la tabla, escogemos el cambio

Despejamos \(x\) y derivamos:

Sustituimos en la integral y simplificamos:

La integral que queda es inmediata, ya que podemos escribirla como una suma:

Deshaciendo el cambio, tenemos:



Teniendo en cuenta la tabla, escogemos el cambio

Sustituimos en la integral:

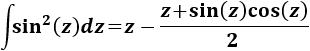
Como ya sabemos (lo recordamos en la nota previa), la integral del coseno al cuadrado es

Deshaciendo el cambio de variable,

Nota: la razón de escoger el cambio \(x = \sin(z)\) cuando en el integrando tenemos \(\sqrt{1-x^2}\) es para aplicar la identidad fundamental \(1 - \sin^2(x) = \cos^2(x)\), con lo que se consigue eliminar el signo radical y así simplificar el integrando. Esto no significa que no podamos usar otro cambio de variable, ni que éste vaya a funcionar mejor o peor.


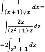
Escogemos el cambio de variable \(z^2\) igual al radicando para que desaparezca la raíz cuadrada (por estár al cuadrado). Luego sea

Despejamos \(x\) y derivamos:

Sustituimos en la integral y simplificamos:

Calculamos la integral directa que queda:

Deshacemos el cambio de variable:

Por tanto,



Nota: en realidad, esta integral es inmediata, pero la vamos a resolver por sustitución.
Escogemos un cambio de variable para eliminar la raíz:

Sustituimos en la integral:

Simplificando, se obtiene la integral

Deshacemos el cambio:

Por tanto,



Vamos a resolver esta integral de forma un poco distinta a las anteriores (sin despejar \(x\)).
Atendiendo a la tabla, escogemos el cambio

Aplicamos el cambio:

Observad que hemos cambiado directamente \(e^xdx\) por \(dz\).
La integral obtenida es directa por ser la derivada del arcoseno.
Por tanto, deshaciendo el cambio,



Como el exponente del seno es impar, utilizaremos el cambio

Escribimos el seno en función de la nueva variable:

Aplicamos el cambio de variable:

Deshacemos el cambio:

Por tanto,



Tenemos un seno y un coseno en el integrando, pero como ambos tienen exponente impar, podemos escoger el cambio \(z=sin(x)\) ó \(z=cos(x)\). Elegimos el primero:

Necesitamos calcular el coseno de \(x\) en función de la nueva variable:

Sustituimos en la integral y simplificamos:

La integral obtenida es directa (un logaritmo):

Deshacemos el cambio:

Por tanto,



Atendiendo a la tabla, escogemos el cambio

Aplicamos el cambio:

Simplificamos:

En la nota previa recordamos el resultado de la integral del cuadrado del coseno:

Por tanto, deshaciendo el cambio de variable,

Podemos simplificar un poco el resultado teniendo en cuenta las siguientes identidades trigonométricas:

El resultado que obtenemos es



Según la tabla, como los exponentes son pares, escogemos el cambio

Como vamos a utilizar la tangente, reescribimos la integral:

Si dividimos la identidad fundamental entre el coseno al cuadrado:

Continuamos simplificando:

Aplicamos el cambio:

Por tanto, deshaciendo el cambio,



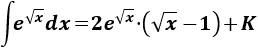
La integral de \(e^x\) es directa y la conocemos. Aplicaremos el cambio de variable \(z = \sqrt{x}\) para tener una integral parecida:

Aplicamos el cambio:

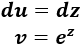
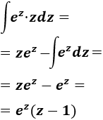
La dificultad de esta integral consiste en que debemos aplicar integración por partes. Sean \(u = z\) y \(dv = e^z dz\), entonces, derivando e integrando tenemos

Recordamos la fórmula de integración por partes:

La aplicamos:

Deshacemos el cambio de variable:

Por tanto, la integral inicial es

Nota: no olvidemos el 2 que sacamos inicialmente fuera de la integral.


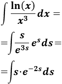
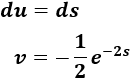
Consideremos el cambio de variable \(s = \ln(x)\), entonces:

Sustituimos en la integral:

La integral es sencilla si aplicamos integración por partes.
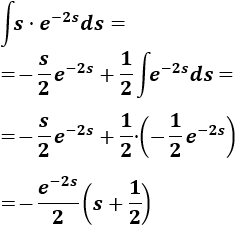
Sean \(u = s\) y \(dv = e^{-2s}ds\). Entonces,

Aplicamos la fórmula:

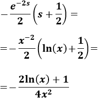
Deshacemos el cambio de variable:

Por tanto,



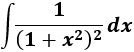
La tabla que vimos al inicio nos aconseja escoger el cambio \(x = \tan(z)\) cuando tenemos \(\sqrt(1+x^2)\). Usaremos este cambio aunque no tenemos la raíz cuadrada. Entonces,

Aplicamos el cambio en la integral:

Ahora debemos recordar la siguiente identidad trigonométrica (demostrada en identidades trigonométricas):

Operamos en el integrando:

Por tanto, tenemos

En la nota previa anterior a las integrales de esta página dimos el resultado de la última integral:

Deshacemos el cambio de variable:

Luego el resultado de la integral inicial es

Nota: si operamos un poco (no es sencillo), podemos simplificar más el resultado:

Con lo que la integral sería



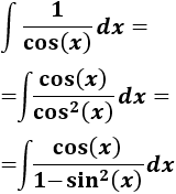
Podemos reescribir la integral:

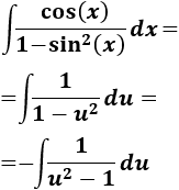
Consideremos el cambio de variable \(u = sin(x)\). Entonces,

Lo aplicamos:

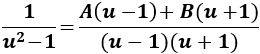
Observad que el polinomio del denominador es

Luego por el teorema fundamental del álgebra podemos escribir

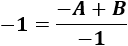
Sumamos las fracciones para hallar \(A\) y \(B\) dando valores a \(u\):


de donde \(A = B-1\).

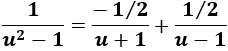
Resolviendo el sistema, tenemos \(A=-1/2\) y \(B = 1/2\), así que

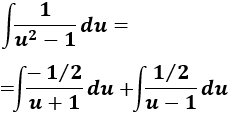
Luego tenemos

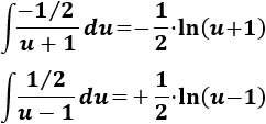
Estas integrales son directas:

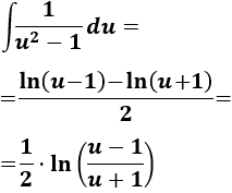
Por tanto,

Volviendo atrás,

Por tanto,



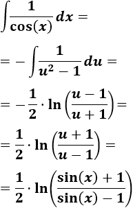
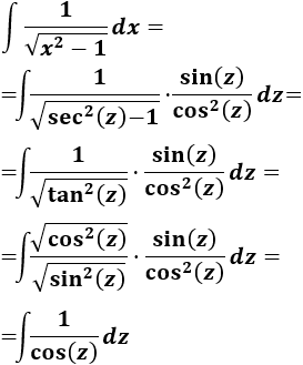
Recordamos una identidad trigonométrica básica:

Podremos aplicar esta identidad si escogemos el cambio \(x = \sec(z)\):

Aplicamos el cambio en la integral:

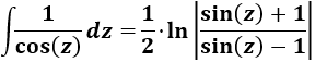
La integral resultante la hemos resuelto anteriormente:

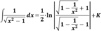
Deshacemos el cambio de variable:

Por tanto,

Nota: podemos usar la siguiente relación

Entonces la integral quedaría como



Nota: esta integral es extremadamente difícil de resolver.

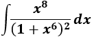
Debemos escoger un cambio de variable del tipo \(z = x^n\). Ahora bien, determinar \(n\) para no complicar la integral no es fácil.
A modo de ejemplo, supongamos que escogemos \(z = x^6\). Lógicamente, al sustituir en el denominador no tenemos problema. Sin embargo, lo tenemos cuando queremos sustituir \(x^8\):

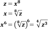
Por esta razón, primero vamos a reescribir el integrando:

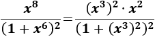
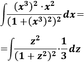
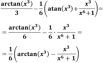
Ahora podemos considerar el cambio de variable \(z=x^3\) y veremos que sustituir \(x^2\) no será un problema porque es la derivada de \(x^3\).
Derivamos:

Aplicamos el cambio de variable en la integral:

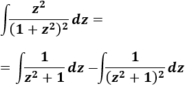
Esto nos ha permitido simplificar un poco el integrando, pero no lo suficiente. Tenemos la integral de una función racional con el grado del polinomio del denominador (4) mayor que el del numerador (2). Podemos aplicar el teorema fundamental del álgebra para escribir la fracción como una sumad de fracciones simples.
El polinomio del denominador es \((1+z^2)^2\), de cuya forma factorizada podemos deducir que tiene dos raíces complejas (conjugadas) de multiplicidad 2, luego podemos descomponer el integrando como sigue:

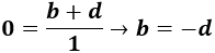
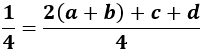
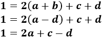
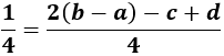
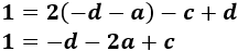
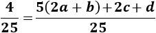
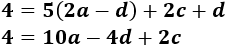
Para poder hallar las letras \(a\), \(b\), \(c\) y \(d\) sumamos las fracciones y damos valores a \(z\):



Entonces,


Entonces,


Entonces,

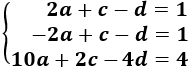
Luego tenemos un sistema de 3 ecuaciones y 3 incógnitas (\(a\), \(c\) y \(d\)):

La solución del sistema anterior es (lo hemos resuelto por la regla de Cramer):

Y ya sabemos que \(b = -d = 1\).
Luego tenemos

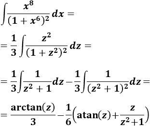
Por tanto,

La primera integral es directa:

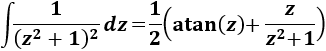
La segunda la hemos resuelto anteriormente (Integral 13):

Por tanto, recapitulando, tenemos

Luego, deshaciendo el cambio de variable (\(z = x^3\)), tenemos

Por tanto, la integral inicial es



Sea \(x = z^2\), entonces

Aplicamos el cambio:

La integral que queda es directa:

Deshacemos el cambio de variable:



El cambio evidente que debemos escoger es

Lo aplicamos a la integral:

La integral que queda es sencilla si aplicamos integración por partes. Tomaremos \(u = z\) y \(dv = \cos(z)dz\), así que

Aplicamos la fórmula:

Finalmente, deshacemos el cambio de variable:

Nota: podemos también usar la relación



Esta integral se parece a la anterior y aplicaremos un cambio análogo:

Aplicamos el cambio en la integral:

La integral que queda es fácil de resolver integrando por partes teniendo en cuenta que \(\sin(z)\cos(z)\) es (casi) la derivada de \(\sin^2(z)\).
Luego sean \(u = 2z\) y \(dv =\sin(z)\cos(z)\), entonces:

Aplicamos la fórmula:

En la nota previa de las integrales proporcionamos la integral del coseno al cuadrado:

Luego, teniendo en cuenta la identidad trigonométrica fundamental,

Por tanto,

Por tanto, deshaciendo el cambio, tenemos que la integral inicial es

Nota: como ya hemos dicho anteriormente, podemos tener en cuenta que

Por lo que podemos también escribir el resultado de la integral como



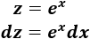
El cambio de variable más lógico es

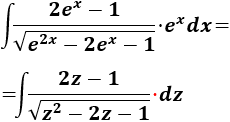
Aplicamos el cambio en la integral:

Nota: hemos escrito el punto multiplicativo justo antes de \(dz\) para que veamos claramente que hemos cambiado \(e^x dx\) por \(dz\).
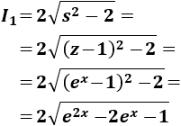
Observemos que el cuadrado \((z-1)^2\) es casi el radicando:

Por tanto, el radicando es

Y la integral podemos escribirla como

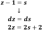
Consideramos ahora un nuevo cambio de variable:

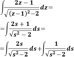
Aplicamos dicho cambio:

La primera integral es directa (derivada de una raíz):

Deshacemos los cambios de variable:

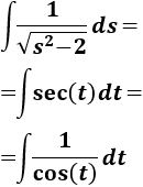
Para resolver la segunda integral tenemos que aplicar el cambio sugerido en la tabla de la introducción:

Aplicamos el cambio:

Ahora, teniendo en cuenta que \(\sec^2(t)-1 = \tan^2(t)\), el integrando queda como

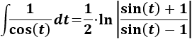
Luego

Esta última integral ya la hemos calculado anteriormente (Integral 14):

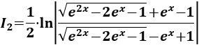
Deshacemos los cambios de variable:

Entonces, la integral inicial es la suma de las integrales \(I_1\) e \(I_2\) (más la constante de integración):

Nota: si tenemos en cuenta que

También podemos escribir \(I_2\) como

Páginas amigas: Problemas y Ecuaciones, Ecuaciones Resueltas.
Método de integración por sustitución o cambio de variable- © - matesfacil.com
Matesfacil.com
by J. Llopis is licensed under a
Creative
Commons Attribution-NonCommercial 4.0 International License.