Contenido de esta página:
♦ Recordatorio:
♦ Test online de potencias.
Este test es sobre el concepto de potencia. Sólo tendremos que calcular el resultado de potencias simples. Siguiente test sobre potencias:
Test nivel 2: propiedades de las potencias.
Antes del test, vamos a hacer un breve recordatorio a modo de introducción.
La potencia \(a^b\) se lee "\(a\) elevado a \(b\)" y representa el producto de \(b\) veces el número \(a\) por sí mismo.
Por ejemplo,
En la potencia \(a^b\), el número \(a\) se llama base y \(b\) se llama exponente.
Las potencias "elevado a 2" y "elevado 3" se leen "al cuadrado" y "al cubo", respectivamente.
Por ejemplo, dos al cubo es \(2^3\) y cinco al cuadrado es \(5^2\).
La potencia "elevado a 1" tiene como resultado la base.
Por ejemplo,
El resultado de la potencia "elevado a 0" es 1 (siendo la base distinta de 0).
Por ejemplo,
Veamos ahora potencias cuyas bases son números negativos y fracciones.
Al escribir la potencia de un número negativo, tenemos que escribir la base entre paréntesis.
Por ejemplo,

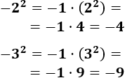
Si no escribimos el paréntesis, el signo no se incluye en la base, con lo que el resultado es negativo siempre ya que se interpreta como \(-1\) multiplicando a la potencia.
Por ejemplo,

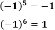
El signo de una potencia con base negativa es positivo si el exponente es par y negativo si el exponente es impar.
Por ejemplo,

La potencia "elevado a -1" es el inverso de la base:

No existe la potencia "elevado a -1" de 0:

Finalmente, veamos la potencia de una fracción.
Cuando calculamos la potencia de una fracción, el exponente pasa al numerador y al denominador:

Por ejemplo,

La potencia "elevado a -1" de una fracción es la fracción inversa.
Por ejemplo,

Dejaremos las otras propiedades para el siguiente nivel.
Test de potencias (nivel 1) - (c) - matesfacil.com
Matesfacil.com
by J. Llopis is licensed under a
Creative
Commons Attribution-NonCommercial 4.0 International License.