logotipo matesfacil

Potencias (test)

Nivel 2: propiedades de las potencias

Contenido de esta página:

  • Recordatorio:
    • Propiedades de las potencias.
    • Ejemplos de aplicación.
  • Test online de las propiedades de las potencias.

Este test es sobre las propiedades de las potencias. El test previo a éste es

Antes del test, vamos a hacer un breve recordatorio a modo de introducción.

1. Propiedades de las potencias

Recordad que...

  • Producto de potencias con la misma base (se suman los exponentes):

    Por ejemplo,

  • Cociente de potencias con la misma base (se restan los exponentes):

    Por ejemplo,

  • Potencia de una potencia (se multiplican los exponentes):

    Por ejemplo,

Incluimos una propiedad de las raíces, pero no la necesitamos en este test:

  • Raíz \(n\)-ésima escrita como una potencia:

    Por ejemplo,

No enunciamos las propiedades relacionadas con las fracciones ya que lo hicimos en el test previo: concepto y cálculo de potencias.

X

2. Ejemplos de aplicación


Veamos ahora tres ejemplos de cómo nos ayudan las propiedades de las potencias a simplificar o a calcular rápidamente operaciones en las que intervienen las potencias.

Ejemplo 1

Aplicamos la propiedad de la potencia del producto para calcular la potencia \(2^7\):

Ejemplo 2

Aplicamos la propiedad de la potencia del producto para calcular la potencia \(60^2\):

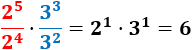
Ejemplo 3

Aplicamos las propiedades de las potencias para simplificar la siguiente fracción:

Mostrar ejemplo

Test online


Pregunta 1

¿Cuál es el resultado del siguiente producto de potencias?

$$ 3^3\cdot 3^2$$


Pregunta 2

¿Cuál es el resultado del siguiente producto de potencias?

$$ 2^2\cdot 2^2$$


Pregunta 3

¿Cuál es el resultado del siguiente producto de potencias?

$$ 2^2\cdot 3^2$$


Pregunta 4

¿Cuál es el resultado del siguiente cociente de potencias?

$$ \frac{2^5}{2^3} $$


Pregunta 5

¿Cuál es el resultado del siguiente cociente de potencias?

$$ \frac{8}{2^2} $$


Pregunta 6

¿Cuál es el resultado de la siguiente operación?

$$ \frac{2^5\cdot 3^2}{2^3\cdot 3} $$


Pregunta 7

¿Cuál es el resultado de la siguiente operación?

$$ \left( \frac{2^6\cdot 3^2}{2^4\cdot 9} \right)^2 $$


Pregunta 8

¿Cuál es el resultado de la siguiente operación?

$$ (-3)^2\cdot 3^3 $$


Pregunta 9

¿Cuál es el resultado de la siguiente potencia?

$$ (-1)^{37} $$


Pregunta 10

¿Cuál es el resultado de la siguiente operación?

$$ \frac{4^2 \cdot 9^2\cdot 25 }{5^2 \cdot 3^4 \cdot 2^4 } $$


Pregunta 11

¿Cuál es el resultado de la siguiente potencia de potencia de una potencia?

$$ ((2^2)^3)^2$$


Pregunta 12

¿Cuál es el resultado del inverso del inverso de la fracción tres medios?


Pregunta 13

¿Cuál de las siguientes operaciones tiene como resultado \(6^2\)?


Pregunta 14

¿Cuál de las siguientes fracciones de potencias es igual a \(1\)?


Pregunta 15

¿Cuál de las siguientes operaciones no da como resultado \(1\)?





acceso al foro

ejercicios interactivos de matemáticas


Test de potencias (nivel 2): propiedades de las potencias - (c) - matesfacil.com

Creative Commons License
Matesfacil.com by J. Llopis is licensed under a Creative Commons Attribution-NonCommercial 4.0 International License.