logotipo matesfacil

Diferencias entre módulo, dirección y setido de un vector

En esta página vamos a definir y a explicar las diferencias entre el módulo, la dirección y el sentido de un vector. Como los conceptos son iguales para cualquier dimensión, trabajamos con vectores del plano real \(\mathbb{R}^2\).

Contenido de esta página:

  1. Introducción
  2. Módulo
  3. Sentido
  4. Dirección

Otros temas de vectores de \(\mathbb{R}^2\):

1. Introducción

Un vector \(\vec{v}=(v_1,v_2)\) de \(\mathbb{R}^2\) es la flecha que parte del origen de coordenadas (punto \((0,0)\)) y termina en el punto \(P=(v_1,v_2)\):

Definimos y explicamos las diferencias entre el módulo, la dirección y el sentido de un vector. Matemáticas para secundaria y bachillerato. Geometría plana. Geometría 2D.

Sin embargo, podemos representar el mismo vector \(\vec{v}\) partiendo de cualquier otro punto del plano, siempre y cuando tenga la misma longitud, dirección y sentido:

Definimos y explicamos las diferencias entre el módulo, la dirección y el sentido de un vector. Matemáticas para secundaria y bachillerato. Geometría plana. Geometría 2D.

Por esta razón, es importante diferenciar estos tres conceptos: longitud (módulo), dirección y sentido.


2. Módulo

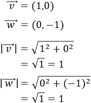
El módulo de un vector \(\vec{v}=(v_1, v_2)\) es su longitud y se denota por \(|v|\). Se calcula mediante la fórmula

Definimos y explicamos las diferencias entre el módulo, la dirección y el sentido de un vector. Matemáticas para secundaria y bachillerato. Geometría plana. Geometría 2D.

El módulo, como toda longitud, nunca puede ser negativo.

Ver ejemplo

3. Sentido

Un vector \(\vec{v}\) parte de un punto \(A\) y termina en un punto \(B\):

Definimos y explicamos las diferencias entre el módulo, la dirección y el sentido de un vector. Matemáticas para secundaria y bachillerato. Geometría plana. Geometría 2D.

El vector \(\vec{w}\) que parte del punto \(B\) y termina en el punto \(A\) tiene sentido opuesto:

Definimos y explicamos las diferencias entre el módulo, la dirección y el sentido de un vector. Matemáticas para secundaria y bachillerato. Geometría plana. Geometría 2D.

Ambos vectores unen los mismos puntos, pero en sentidos contrarios. Miden lo mismo y tienen la misma dirección.

Si el vector \(\vec{v}\) es \(\vec{v}=(v_1,v_2)\), entonces el vector \(\vec{w}\) es \(\vec{w}=(-v_1,-v_2)\). Es decir, \(\vec{w}\) es el vector opuesto de \(\vec{v}\):

Definimos y explicamos las diferencias entre el módulo, la dirección y el sentido de un vector. Matemáticas para secundaria y bachillerato. Geometría plana. Geometría 2D.

Ver ejemplo

Si cambiamos el signo de las dos coordenadas de un vector, obtenemos el vector opuesto. Este vector tiene la misma dirección y el mismo módulo (longitud), pero sentido contrario.

4. Dirección

Nota: el concepto de dirección es sencillo, pero es un poco más complicado definirlo matemáticamente. Como no tiene demasiadas aplicaciones prácticas, es suficiente con comprender el concepto.

Concepto intuitivo:

Hay varias formas de definir la dirección. Vamos a ver una de ellas.

La dirección de un vector se puede definir a partir de la recta a la que pertenece el vector. Si dos vectores están en la misma recta o en una recta paralela, tienen la misma dirección:

Definimos y explicamos las diferencias entre el módulo, la dirección y el sentido de un vector. Matemáticas para secundaria y bachillerato. Geometría plana. Geometría 2D.

Los tres vectores de color rojo tienen la misma dirección, aunque no todos tienen el mismo sentido ni la misma longitud (módulo).

Los dos vectores de color azul tienen la misma dirección, pero tienen sentido opuesto y distinta longitud.

Profundizamos un poco más:

La dirección del vector es el ángulo que forma la recta que lo contiene con el eje de las abscisas (eje horizontal). Este ángulo es el mismo para rectas paralelas. Por tanto, una forma de saber si dos vectores tienen la misma dirección es calcular el ángulo que forman con una recta horizontal.

Dado el vector \(\vec{v}=(v_1,v_2)\), el ángulo que forma con el eje de abscisas es

Definimos y explicamos las diferencias entre el módulo, la dirección y el sentido de un vector. Matemáticas para secundaria y bachillerato. Geometría plana. Geometría 2D.

Si la primera coordenada es 0, entonces el ángulo es

  • \(\alpha = 90^\circ \) si la segunda coordenada es positiva
  • \(\alpha = 180^\circ \) si la segunda coordenada es negativa y
  • \(\alpha = 0^\circ \) si la segunda coordenada es 0.
Ver ejemplo




acceso al foro

ejercicios interactivos de matemáticas


Diferencias entre el módulo, la dirección y el sentido de un vector - © matesfacil.com

Creative Commons License
Matesfacil.com by J. Llopis is licensed under a Creative Commons Attribution-NonCommercial 4.0 International License.