logotipo matesfacil

Producto de un escalar por un vector del plano \(\mathbb{R}^2\)

En esta página definimos el producto de un escalar por un vector del plano \(\mathbb{R}^2\), mostramos ejemplos, demostramos las propiedades básicas y resolvemos problemas relacionados.

Nota: en esta página no vemos el producto escalar de dos vectores (ésta es otra operación).

Contenido de esta página:

  • Introducción
  • Definición
  • Propiedades
  • 9 problemas resueltos

Otros temas de vectores de \(\mathbb{R}^2\):

Introducción

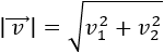
Recordamos que un vector \(\vec{v}\) del plano real \(\mathbb{R}^2\) es

Definimos el producto de un escalar por un vector del plano real, mostramos ejemplos, demostramos las propiedades básicas y resolvemos problemas relacionados.  Matemáticas para secundaria y bachillerato. Geometría plana. Geometría 2D.

siendo \(v_1\) su primera coordenada (eje horizontal) y \(v_2\) su segunda coordenada (eje vertical):

Definimos el producto de un escalar por un vector del plano real, mostramos ejemplos, demostramos las propiedades básicas y resolvemos problemas relacionados.  Matemáticas para secundaria y bachillerato. Geometría plana. Geometría 2D.

Llamamos escalar a cualquier número real \(\alpha\in\mathbb{R}\).


Definición

Dado un escalar \(\alpha \in\mathbb{R}\) y un vector \(\vec{v} = (v_1,v_2)\) de \(\mathbb{R}^2\), se define su producto como el vector

Definimos el producto de un escalar por un vector del plano real, mostramos ejemplos, demostramos las propiedades básicas y resolvemos problemas relacionados.  Matemáticas para secundaria y bachillerato. Geometría plana. Geometría 2D.

Es decir, es el vector que se obtiene al multiplicar las coordenadas del vector \(\vec{v}\) por el escalar \(\alpha\).

Ver ejemplo

Cuando \(\alpha\neq 0\), decimos que el vector \(\alpha·\vec{v}\) es proporcional al vector \(\vec{v}\).

Propiedades

A continuación, enunciamos 7 propiedades básicas del producto de un escalar por un vector (demostramos la 5, la 6 y la 7).

Propiedad 1

Si \(\alpha > 0\), entonces el vector \(\alpha·\vec{v}\) tiene la misma dirección y sentido que \(\vec{v}\).


Propiedad 2

Si \(\alpha < 0\), entonces el vector \(\alpha·\vec{v}\) tiene la misma dirección y sentido opuesto que \(\vec{v}\).


Propiedad 3

Si \(|\alpha| > 1\), entonces la longitud del vector \(\alpha·\vec{v}\) es mayor que la de \(\vec{v}\) (tiene módulo mayor).


Propiedad 4

Si \(|\alpha| < 1\), entonces la longitud del vector \(\alpha·\vec{v}\) es menor que la de \(\vec{v}\) (tiene módulo menor).


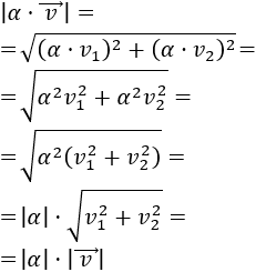
Propiedad 5

Más exactamente, el módulo del \(\alpha·\vec{v}\) cumple

Definimos el producto de un escalar por un vector del plano real, mostramos ejemplos, demostramos las propiedades básicas y resolvemos problemas relacionados.  Matemáticas para secundaria y bachillerato. Geometría plana. Geometría 2D.

Ver demostración

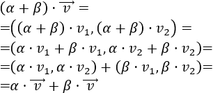
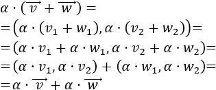
Propiedad 6

El producto es distributivo respecto de la suma de vectores:

Definimos el producto de un escalar por un vector del plano real, mostramos ejemplos, demostramos las propiedades básicas y resolvemos problemas relacionados.  Matemáticas para secundaria y bachillerato. Geometría plana. Geometría 2D.

Ver demostración

Propiedad 7

El producto es distributivo respecto de la suma de escalares:

Definimos el producto de un escalar por un vector del plano real, mostramos ejemplos, demostramos las propiedades básicas y resolvemos problemas relacionados.  Matemáticas para secundaria y bachillerato. Geometría plana. Geometría 2D.

Ver demostración

6 Problemas resueltos

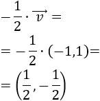
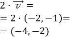
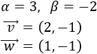
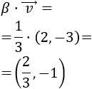
Problema 1

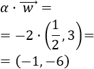
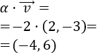
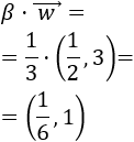
Calcular los siguientes productos de un escalar por un vector:

Definimos el producto de un escalar por un vector del plano real, mostramos ejemplos, demostramos las propiedades básicas y resolvemos problemas relacionados.  Matemáticas para secundaria y bachillerato. Geometría plana. Geometría 2D.

siendo

Definimos el producto de un escalar por un vector del plano real, mostramos ejemplos, demostramos las propiedades básicas y resolvemos problemas relacionados.  Matemáticas para secundaria y bachillerato. Geometría plana. Geometría 2D.

Ver solución

Problema 2

Con los resultados del problema anterior:

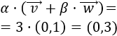
  1. Determinar si \(\alpha ·\vec{v}\) y \(\beta ·\vec{v}\) tienen o no la misma dirección y sentido que \(\vec{v}\) y si tienen mayor o menor longitud.

  2. Lo mismo para \(\alpha ·\vec{w}\), \(\beta ·\vec{w}\) y \(\vec{v}\).

Ver solución

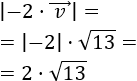
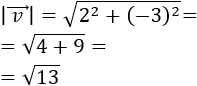
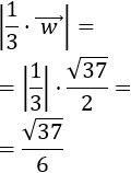
Problema 3

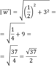
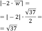
Calcular el módulo de los 4 vectores obtenidos en el problema 1.

Ver solución

Problema 4

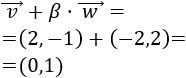
Calcular la siguiente operación entre vectores y escalares:

Definimos el producto de un escalar por un vector del plano real, mostramos ejemplos, demostramos las propiedades básicas y resolvemos problemas relacionados.  Matemáticas para secundaria y bachillerato. Geometría plana. Geometría 2D.

siendo

Definimos el producto de un escalar por un vector del plano real, mostramos ejemplos, demostramos las propiedades básicas y resolvemos problemas relacionados.  Matemáticas para secundaria y bachillerato. Geometría plana. Geometría 2D.

Ver solución

Problema 5

Calcular un vector que tenga la misma dirección y sentido que \(\vec{v}\), pero cuyo módulo sea el doble, siendo

Definimos el producto de un escalar por un vector del plano real, mostramos ejemplos, demostramos las propiedades básicas y resolvemos problemas relacionados.  Matemáticas para secundaria y bachillerato. Geometría plana. Geometría 2D.

Ver solución

Problema 6

Calcular un vector que tenga la misma dirección y sentido opuesto que \(\vec{v}\) y, además, su módulo sea la mitad, siendo

Definimos el producto de un escalar por un vector del plano real, mostramos ejemplos, demostramos las propiedades básicas y resolvemos problemas relacionados.  Matemáticas para secundaria y bachillerato. Geometría plana. Geometría 2D.

Ver solución

Problema 7

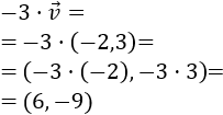
Calcular el producto del escalar \(\alpha =-3\) por el vector \(\vec{v}=(-2,3)\).

Ver solución

Problema 8

Comprobar que si multiplicamos un vector \(\vec{v}\) por el escalar 2, entonces el resultado es un vector que mide el doble que \(\vec{v}\).

Ver solución

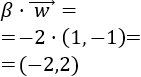
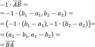
Problema 9

Comprobar que si \(\vec{AB}\) es el vector va del punto \(A\) al punto \(B\), entonces el producto \(-1·\vec{AB}\) es el vector que va del punto \(B\) al punto \(A\), es decir:

Definimos el producto de un escalar por un vector del plano real, mostramos ejemplos, demostramos las propiedades básicas y resolvemos problemas relacionados.  Matemáticas para secundaria y bachillerato. Geometría plana. Geometría 2D.

Ver solución




acceso al foro

ejercicios interactivos de matemáticas


Producto de un escalar por un vector del plano - © matesfacil.com

Creative Commons License
Matesfacil.com by J. Llopis is licensed under a Creative Commons Attribution-NonCommercial 4.0 International License.