logotipo matesfacil

Sumar y restar vectores del plano \(\mathbb{R}^2\)

En esta página explicamos cómo sumar y restar vectores del plano real (\(\mathbb{R}^2\)) analítica y geométricamente, es decir, sin representar los vectores y representándolos. Con ejemplos y 11 problemas resueltos.

En el problema 11 explicamos cómo podemos ver la suma y la resta de vectores como desplazamientos.

Contenido de esta página:

  1. Introducción
  2. Suma analítica de vectores
  3. Resta analítica de vectores
  4. Suma geométrica de vectores
  5. Resta geométrica de vectores
  6. 11 problemas resueltos

Otros temas de vectores de \(\mathbb{R}^2\):

1. Introducción

Recordamos el concepto de vector.

Dado el vector \(\vec{v} = (v_1, v_2)\), llamamos primera y segunda coordenada a \(v_1\) y a \(v_2\), respectivamente.

Representamos el vector \(\vec{v}= (v_1, v_2)\) como una flecha que parte del origen de coordenadas \((0,0)\) hasta el punto con coordenadas \((v_1, v_2)\):

Definimos la suma y la resta de vectores del plano analíticamente y geométricamente y resolvemos problemas relacionados. Geometría plana. Geometría 2D. Secundaria, Bachillerato.

No obstante, recordad que podemos representar al mismo vector en cualquier lugar del plano porque lo importante en los vectores es su longitud, su dirección y su sentido.


2. Suma analítica de vectores

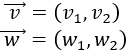
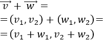
Sean los vectores \(\vec{v}\) y \(\vec{w}\) dados por

Definimos la suma y la resta de vectores del plano analíticamente y geométricamente y resolvemos problemas relacionados. Geometría plana. Geometría 2D. Secundaria, Bachillerato.

La suma de los vectores se define como

Definimos la suma y la resta de vectores del plano analíticamente y geométricamente y resolvemos problemas relacionados. Geometría plana. Geometría 2D. Secundaria, Bachillerato.

Es decir,

La suma de dos vectores \(\vec{v}\) y \(\vec{w}\) es el vector cuyas coordenadas son la suma de las coordenadas de \(\vec{v}\) y de \(\vec{w}\).


Ver ejemplo

La suma de vectores es conmutativa, es decir,

$$ \vec{v} + \vec{w} = \vec{w} + \vec{v} $$

3. Resta analítica de vectores

Sean los vectores \(\vec{v}\) y \(\vec{w}\) dados por

Definimos la suma y la resta de vectores del plano analíticamente y geométricamente y resolvemos problemas relacionados. Geometría plana. Geometría 2D. Secundaria, Bachillerato.

La resta de los vectores se define como

Definimos la suma y la resta de vectores del plano analíticamente y geométricamente y resolvemos problemas relacionados. Geometría plana. Geometría 2D. Secundaria, Bachillerato.

Es decir,

La resta de dos vectores \(\vec{v}\) y \(\vec{w}\) es el vector cuyas coordenadas son la resta de las coordenadas de \(\vec{v}\) y de \(\vec{w}\).


Ver ejemplo


4. Suma geométrica de vectores

Definimos la suma y la resta de vectores del plano analíticamente y geométricamente y resolvemos problemas relacionados. Geometría plana. Geometría 2D. Secundaria, Bachillerato.

Mostrar texto

5. Resta geométrica de vectores

Definimos la suma y la resta de vectores del plano analíticamente y geométricamente y resolvemos problemas relacionados. Geometría plana. Geometría 2D. Secundaria, Bachillerato.

Mostrar texto

6. 11 Problemas resueltos

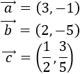
Problema 1

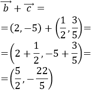
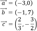
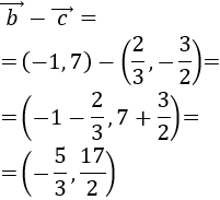
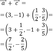
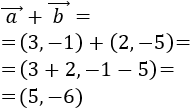
Calcular analíticamente las sumas de vectores \(\vec{a}+\vec{b}\), \(\vec{a}+\vec{c}\) y \(\vec{b}+\vec{c}\), donde

Definimos la suma y la resta de vectores del plano analíticamente y geométricamente y resolvemos problemas relacionados. Geometría plana. Geometría 2D. Secundaria, Bachillerato.

Ver solución

Problema 2

Sumar geométricamente los siguientes dos vectores:

Definimos la suma y la resta de vectores del plano analíticamente y geométricamente y resolvemos problemas relacionados. Geometría plana. Geometría 2D. Secundaria, Bachillerato.

Ver solución

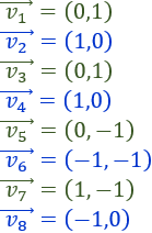
Problema 3

Calcular geométricamente la suma de los siguientes 8 vectores:

Definimos la suma y la resta de vectores del plano analíticamente y geométricamente y resolvemos problemas relacionados. Geometría plana. Geometría 2D. Secundaria, Bachillerato.

Ver solución

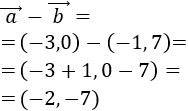
Problema 4

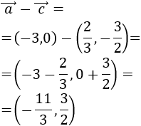
Calcular analíticamente las restas de vectores \(\vec{a}-\vec{b}\), \(\vec{a}-\vec{c}\) y \(\vec{b}-\vec{c}\), donde

Definimos la suma y la resta de vectores del plano analíticamente y geométricamente y resolvemos problemas relacionados. Geometría plana. Geometría 2D. Secundaria, Bachillerato.

Ver solución

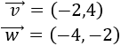
Problema 5

Calcular geométricamente la resta de vectores \(\vec{v}-\vec{w}\), donde

Definimos la suma y la resta de vectores del plano analíticamente y geométricamente y resolvemos problemas relacionados. Geometría plana. Geometría 2D. Secundaria, Bachillerato.

Ver solución

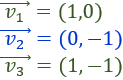
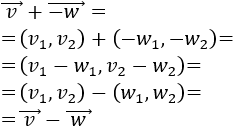
Problema 6

Sean los vectores

Definimos la suma y la resta de vectores del plano analíticamente y geométricamente y resolvemos problemas relacionados. Geometría plana. Geometría 2D. Secundaria, Bachillerato.

Comprobar que la resta \(\vec{v}-\vec{w}\) es igual a la suma \(\vec{v}+ \vec{-w} \), siendo \(\vec{-w} \) el vector opuesto de \(\vec{w}\), es decir,

Definimos la suma y la resta de vectores del plano analíticamente y geométricamente y resolvemos problemas relacionados. Geometría plana. Geometría 2D. Secundaria, Bachillerato.

Nota: el vector \(\vec{-w}\) tiene la misma dirección y longitud que \(\vec{w}\), pero sentido contrario.

Ver solución

Problema 7

Calcular geométricamente la siguiente resta de vectores:

Definimos la suma y la resta de vectores del plano analíticamente y geométricamente y resolvemos problemas relacionados. Geometría plana. Geometría 2D. Secundaria, Bachillerato.

siendo los vectores

Definimos la suma y la resta de vectores del plano analíticamente y geométricamente y resolvemos problemas relacionados. Geometría plana. Geometría 2D. Secundaria, Bachillerato.

Ayuda: utilizar el problema anterior.

Ver solución

Problema 8

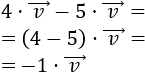
Dado un vector \(\vec{v}\), calcular el único vector \(\vec{w}\) que cumple

Definimos la suma y la resta de vectores del plano analíticamente y geométricamente y resolvemos problemas relacionados. Geometría plana. Geometría 2D. Secundaria, Bachillerato.

Ver solución

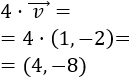
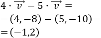
Problema 9

Sea \(\alpha\) un número real cualquiera (llamado escalar) y sea \(\vec{v} = (v_1,v_2)\) un vector, se define el producto del escalar \(\alpha \) por el vector \(\vec{v}\) como el vector

Definimos la suma y la resta de vectores del plano analíticamente y geométricamente y resolvemos problemas relacionados. Geometría plana. Geometría 2D. Secundaria, Bachillerato.

Calcular la siguiente operación:

Definimos la suma y la resta de vectores del plano analíticamente y geométricamente y resolvemos problemas relacionados. Geometría plana. Geometría 2D. Secundaria, Bachillerato.

donde

Definimos la suma y la resta de vectores del plano analíticamente y geométricamente y resolvemos problemas relacionados. Geometría plana. Geometría 2D. Secundaria, Bachillerato.

Ver solución

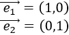
Problema 10

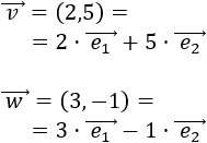
Todo vector del plano puede escribirse como combinación lineal de los vectores canónicos \(\vec{e_1}\) y \(\vec{e_2}\), siendo

Definimos la suma y la resta de vectores del plano analíticamente y geométricamente y resolvemos problemas relacionados. Geometría plana. Geometría 2D. Secundaria, Bachillerato.

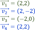
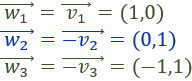
Escribir los siguientes vectores como combinación lineal de los canónicos:

Definimos la suma y la resta de vectores del plano analíticamente y geométricamente y resolvemos problemas relacionados. Geometría plana. Geometría 2D. Secundaria, Bachillerato.

Ver solución

Problema 11

En este problema vamos a ver los vectores como desplazamientos.

Sea el vector

Definimos la suma y la resta de vectores del plano analíticamente y geométricamente y resolvemos problemas relacionados. Geometría plana. Geometría 2D. Secundaria, Bachillerato.

Podemos ver las coordenadas del vector como el desplazamiento de \(v_1\) unidades en dirección horizontal y \(v_2\) unidades en dirección vertical.

  • Si la primera coordenada es positiva, el desplazamiento es hacia la derecha. Si no, hacia la izquierda.

  • Si la segunda coordenada es positiva, el desplazamiento es hacia arriba. Si no, hacia abajo.

Determinar el punto en el que nos encontraremos si, partiendo del punto (2,2) del plano, realizamos los siguientes desplazamientos:

Definimos la suma y la resta de vectores del plano analíticamente y geométricamente y resolvemos problemas relacionados. Geometría plana. Geometría 2D. Secundaria, Bachillerato.

¿Qué operación vectorial hemos realizado durante el desplazamiento? ¿Cuál es el punto final si el desplazamiento comienza en el punto (-1,5)?

Ver solución





acceso al foro

ejercicios interactivos de matemáticas


Sumar y restar vectores del plano - © matesfacil.com

Creative Commons License
Matesfacil.com by J. Llopis is licensed under a Creative Commons Attribution-NonCommercial 4.0 International License.