logotipo matesfacil

Vector que une dos puntos del plano \(\mathbb{R}^2\)

En esta página explicamos cómo calcular el vector que une dos puntos del plano y resolvemos problemas relacionados (distancia entre puntos, puntos alineados, etc.).

Contenido de esta página:

  • Vector que une dos puntos de \(\mathbb{R}^2\)
  • Módulo del vector que une dos puntos
  • Puntos alineados
  • 6 problemas resueltos

Otros temas de vectores de \(\mathbb{R}^2\):

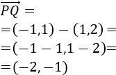
Vector que une dos puntos de \(\mathbb{R}^2\)

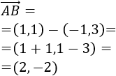
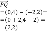
Sean los puntos \(P\) y \(Q\) con coordenadas

Explicamos cómo calcular el vector que une dos puntos del plano y resolvemos problemas relacionados (distancia entre puntos, puntos alineados, etc.). Geometría plana, 2D, Secundaria, Bachillerato. Matemáticas

Denotamos por \(\vec{PQ}\) al vector que une ambos puntos partiendo desde \(P\) hasta \(Q\):

Explicamos cómo calcular el vector que une dos puntos del plano y resolvemos problemas relacionados (distancia entre puntos, puntos alineados, etc.). Geometría plana, 2D, Secundaria, Bachillerato. Matemáticas

Es decir, las coordenadas del vector son las coordenadas del punto final (\(Q\)) menos las coordenadas del punto origen (\(P\)).

Explicamos cómo calcular el vector que une dos puntos del plano y resolvemos problemas relacionados (distancia entre puntos, puntos alineados, etc.). Geometría plana, 2D, Secundaria, Bachillerato. Matemáticas

Ver ejemplo

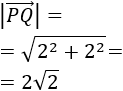
Módulo del vector que une dos puntos

Recordamos cómo se calcula el módulo de un vector \(\vec{v}\):

Explicamos cómo calcular el vector que une dos puntos del plano y resolvemos problemas relacionados (distancia entre puntos, puntos alineados, etc.). Geometría plana, 2D, Secundaria, Bachillerato. Matemáticas

El módulo de un vector es su longitud, así que el módulo del vector que une dos puntos es la distancia que hay entre los dos puntos.

Puntos alineados

Explicamos cómo calcular el vector que une dos puntos del plano y resolvemos problemas relacionados (distancia entre puntos, puntos alineados, etc.). Geometría plana, 2D, Secundaria, Bachillerato. Matemáticas

Sean \(A\), \(B\) y \(C\) tres puntos del plano. Decimos que los puntos están alineados si los tres están en una misma recta.

En la representación anterior, los puntos \(A\), \(B\) y \(C\) están alineados. En cambio, el punto \(D\) no está alineado con ningún otro par.

Si tres puntos no están alineados, entonces forman un triángulo.

Leer más

6 Problemas resueltos

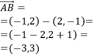
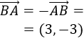
Problema 1

Calcular los dos vectores que unen a los puntos \(A\) y \(B\) dados por

Explicamos cómo calcular el vector que une dos puntos del plano y resolvemos problemas relacionados (distancia entre puntos, puntos alineados, etc.). Geometría plana, 2D, Secundaria, Bachillerato. Matemáticas

Ver solución

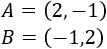
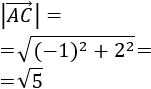
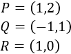
Problema 2

Calcular la distancia entre los siguientes dos puntos del plano:

Explicamos cómo calcular el vector que une dos puntos del plano y resolvemos problemas relacionados (distancia entre puntos, puntos alineados, etc.). Geometría plana, 2D, Secundaria, Bachillerato. Matemáticas

Ver solución

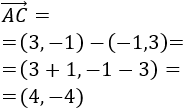
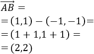
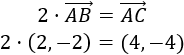
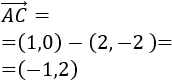
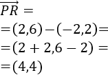
Problema 3

Determinar si los tres puntos siguientes están alineados comprobando si los vectores que los unen son proporcionales:

Explicamos cómo calcular el vector que une dos puntos del plano y resolvemos problemas relacionados (distancia entre puntos, puntos alineados, etc.). Geometría plana, 2D, Secundaria, Bachillerato. Matemáticas

Hacer lo mismo con los puntos

Explicamos cómo calcular el vector que une dos puntos del plano y resolvemos problemas relacionados (distancia entre puntos, puntos alineados, etc.). Geometría plana, 2D, Secundaria, Bachillerato. Matemáticas

Ver solución

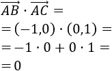
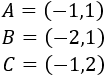
Problema 4

Determinar si los tres puntos siguientes están alineados calculando el producto escalar de los vectores que los unen:

Explicamos cómo calcular el vector que une dos puntos del plano y resolvemos problemas relacionados (distancia entre puntos, puntos alineados, etc.). Geometría plana, 2D, Secundaria, Bachillerato. Matemáticas

Ver solución

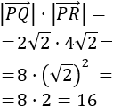
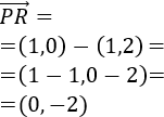
Problema 5

¿Son equidistantes los siguientes tres puntos? ¿Están alineados?

Explicamos cómo calcular el vector que une dos puntos del plano y resolvemos problemas relacionados (distancia entre puntos, puntos alineados, etc.). Geometría plana, 2D, Secundaria, Bachillerato. Matemáticas

Ver solución

Problema 6

Determinar si el triángulo con vértices \(A\), \(B\), \(C\) es un triángulo rectángulo:

Explicamos cómo calcular el vector que une dos puntos del plano y resolvemos problemas relacionados (distancia entre puntos, puntos alineados, etc.). Geometría plana, 2D, Secundaria, Bachillerato. Matemáticas

Ver solución




acceso al foro

ejercicios interactivos de matemáticas


Vector que une dos puntos del plano - © matesfacil.com

Creative Commons License
Matesfacil.com by J. Llopis is licensed under a Creative Commons Attribution-NonCommercial 4.0 International License.