logotipo matesfacil

Módulo de un vector del plano \(\mathbb{R}^2\)

Dedicamos esta página al módulo de los vectores del plano real \(\mathbb{R}^2\). Definimos el módulo, proporcionamos ejemplos, explicamos su significado y propiedades y resolvemos problemas relacionados.

Contenido de esta página:

  1. Introducción
  2. Módulo de un vector
  3. Vector unitario
  4. Propiedades del módulo
  5. 7 problemas resueltos

Otros temas de vectores de \(\mathbb{R}^2\):

1. Introducción

Recordad que la primera coordenada de un vector \(\vec{v} = (v_1,v_2)\) es \(v_1\) y la segunda coordenada es \(v_2\).

El vector \(\vec{v}\) se representa en el plano como una flecha que parte del origen (punto \((0,0)\)) y termina en el punto con las coordenadas del vector, \(P=(v_1,v_2)\):

Definimos el módulo de un vector, proporcionamos ejemplos, explicamos su significado y propiedades y resolvemos problemas relacionados. Geometría plana. 2D. Secundaria, bachillerato.

No obstante, podemos representar el vector \(\vec{v}\) en cualquier punto del plano porque lo que realmente nos importa es su longitud, su dirección y su sentido.


2. Módulo de un vector

Sea \(\vec{v}\) el vector dado por

Definimos el módulo de un vector, proporcionamos ejemplos, explicamos su significado y propiedades y resolvemos problemas relacionados. Geometría plana. 2D. Secundaria, bachillerato.

Se define su módulo como

Definimos el módulo de un vector, proporcionamos ejemplos, explicamos su significado y propiedades y resolvemos problemas relacionados. Geometría plana. 2D. Secundaria, bachillerato.

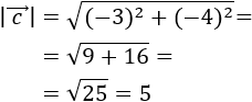
Es decir, el módulo de un vector es la raíz cuadrada (positiva) de la suma de los cuadrados de sus coordenadas.

El módulo del vector \(\vec{v}\) es su longitud.


Ver demostración

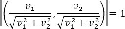
3. Vector unitario

Un vector \(\vec{v}\) es unitario cuando su módulo es 1:

Definimos el módulo de un vector, proporcionamos ejemplos, explicamos su significado y propiedades y resolvemos problemas relacionados. Geometría plana. 2D. Secundaria, bachillerato.

Es decir, el vector \(\vec{v}\) es unitario cuando su longitud es 1.

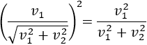
Si dividimos el módulo de un vector \(\vec{v}\) entre su módulo, obtenemos un vector unitario que tiene la misma dirección y el mismo sentido que \(\vec{v}\). Normalmente, a este vector se le denota por \(\vec{v_u}\) y se le denomina vector unitario de \(\vec{v}\). Ver el Problema 3.



4. Propiedades del módulo

Las propiedades básicas del módulo son las siguientes:

  • El módulo de un vector \(\vec{v}\) es siempre mayor o igual que 0, siendo 0 sólo cuando \(\vec{v} = (0,0)\).
  • Si \(\lambda\) es un número real y \(\vec{v}\) es un vector, entonces

Definimos el módulo de un vector, proporcionamos ejemplos, explicamos su significado y propiedades y resolvemos problemas relacionados. Geometría plana. 2D. Secundaria, bachillerato.

  • Dados dos vectores \(\vec{v}\) y \(\vec{w}\), el módulo de su suma cumple

Definimos el módulo de un vector, proporcionamos ejemplos, explicamos su significado y propiedades y resolvemos problemas relacionados. Geometría plana. 2D. Secundaria, bachillerato.

Las demostraciones se encuentran en los problemas 13, 14 y 15 de la página Vectores del plano.

5. 7 Problemas resueltos

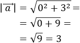
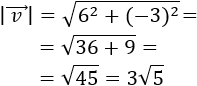
Problema 1

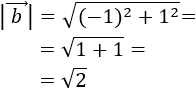
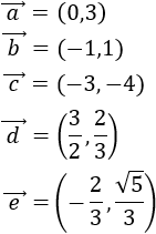
Calcular el módulo de los siguientes 5 vectores y determinar si alguno de ellos es unitario:

Definimos el módulo de un vector, proporcionamos ejemplos, explicamos su significado y propiedades y resolvemos problemas relacionados. Geometría plana. 2D. Secundaria, bachillerato.

Ver solución

Problema 2

Comprobar que los siguientes 4 vectores tienen el mismo módulo, pero representarlos para determinar cuáles tienen la misma dirección:

Definimos el módulo de un vector, proporcionamos ejemplos, explicamos su significado y propiedades y resolvemos problemas relacionados. Geometría plana. 2D. Secundaria, bachillerato.

Ver solución

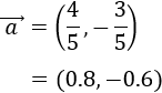
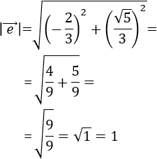
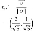
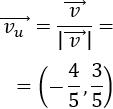
Problema 3

Calcular un vector que tenga la misma dirección y el mismo sentido que el vector \(\vec{v}\), y que, además, sea unitario:

Definimos el módulo de un vector, proporcionamos ejemplos, explicamos su significado y propiedades y resolvemos problemas relacionados. Geometría plana. 2D. Secundaria, bachillerato.

Ver solución

Problema 4

Calcular un vector que tenga la misma dirección y sentido contario que el vector \(\vec{v}\), pero que sea unitario:

Definimos el módulo de un vector, proporcionamos ejemplos, explicamos su significado y propiedades y resolvemos problemas relacionados. Geometría plana. 2D. Secundaria, bachillerato.

Representar ambos vectores.

Ver solución

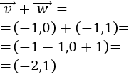
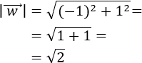
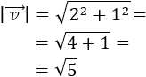
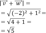
Problema 5

El módulo de la suma de dos vectores no es la suma de los módulos de los vectores. Comprobarlo calculando los módulos de los vectores \(\vec{v}\) , \(\vec{w}\) y \(\vec{v}+\vec{w}\):

Definimos el módulo de un vector, proporcionamos ejemplos, explicamos su significado y propiedades y resolvemos problemas relacionados. Geometría plana. 2D. Secundaria, bachillerato.

Representar los tres vectores.

Ver solución

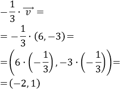
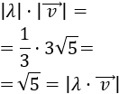
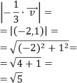
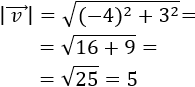
Problema 6

Calcular el módulo del vector \(\vec{v}\) y el módulo del producto del escalar \(\lambda = -1/3\) por el vector \(\vec{v}=(6,-3)\) para comprobar que se cumple la propiedad siguiente del módulo:

Definimos el módulo de un vector, proporcionamos ejemplos, explicamos su significado y propiedades y resolvemos problemas relacionados. Geometría plana. 2D. Secundaria, bachillerato.

Ver solución

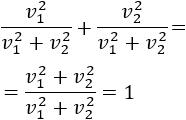
Problema 7

Demostrar que el módulo del vector unitario de un vector es 1, es decir,

Definimos el módulo de un vector, proporcionamos ejemplos, explicamos su significado y propiedades y resolvemos problemas relacionados. Geometría plana. 2D. Secundaria, bachillerato.

Ver solución




acceso al foro

ejercicios interactivos de matemáticas


Módulo de un vector del plano - © matesfacil.com

Creative Commons License
Matesfacil.com by J. Llopis is licensed under a Creative Commons Attribution-NonCommercial 4.0 International License.