logotipo matesfacil

Producto escalar de vectores de \(\mathbb{R}^2\)

En está pagina definimos el producto escalar de dos vectores del plano real, \(\mathbb{R}^2\), enumeramos sus propiedades y resolvemos problemas relacionados. Como aplicación, también definimos y calculamos el ángulo que forman dos vectores.

Contenido de esta página:

  1. Introducción
  2. Definición 1 del producto escalar
  3. Propiedades del producto escalar
  4. Definición 2 del producto escalar
  5. Ángulo entre dos vectores
  6. 10 problemas resueltos

Otros temas de vectores de \(\mathbb{R}^2\):

1. Introducción

Recordamos algunos conceptos necesarios:

Un vector del plano \(\mathbb{R}^2\) es \(\vec{v} = (v_1, v_2)\), siendo \(v_1\) y \(v_2\) números reales, llamados primera y segunda coordenada de \(\vec{v}\).

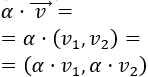
Dado un escalar \(\alpha\) (un número real), el producto \(\alpha ·\vec{v}\) se calcula multiplicando las coordenadas del vector \(\vec{v}\) por \(\alpha\):

Definimos el producto escalar de dos vectores del plano real (de dos formas), enumeramos sus propiedades y resolvemos problemas relacionados. Como aplicación, también definimos y calculamos el ángulo que forman dos vectores. Matemáticas para secundaria y bachillerato. Geometría plana. Geometría 2D.

El módulo del vector \(\vec{v} = (v_1, v_2)\) es la raíz cuadrada de la suma de los cuadrados de sus coordenadas:

Definimos el producto escalar de dos vectores del plano real (de dos formas), enumeramos sus propiedades y resolvemos problemas relacionados. Como aplicación, también definimos y calculamos el ángulo que forman dos vectores. Matemáticas para secundaria y bachillerato. Geometría plana. Geometría 2D.

Hay dos formas de calcular el producto escalar de dos vectores y debemos conocer ambas.


2. Definición 1 del producto escalar

Sean los vectores del plano \(\vec{v}\) y \(\vec{w}\), se define su producto escalar como

$$ \vec{v}·\vec{w} = |v|·|w|·cos(\alpha) $$

donde \(\alpha\) es el ángulo que forman los vectores \(\vec{v}\) y \(\vec{w}\) entre sí, comprendido en el intervalo \(\left[0, \pi \right]\).

Es decir, el producto vectorial de \(\vec{v}\) y \(\vec{w}\) es el producto de sus módulos por el coseno del ángulo que forman.

Ver ejemplo 1

Ver ejemplo 2

Recordad que un escalar es cualquier número real \(k\) de \(\mathbb{R}\).

El producto escalar de dos vectores se denomina escalar porque su resultado es un número real.

3. Propiedades del producto escalar

  • Si uno de los dos vectores \(\vec{v}\) ó \(\vec{w}\) es 0, su producto escalar es 0. El recíproco no es cierto: el producto puede ser 0 sin que ninguno de los vectores sea 0 (como en el ejemplo 1).

  • El producto escalar es conmutativo, es decir,

    Definimos el producto escalar de dos vectores del plano real (de dos formas), enumeramos sus propiedades y resolvemos problemas relacionados. Como aplicación, también definimos y calculamos el ángulo que forman dos vectores. Matemáticas para secundaria y bachillerato. Geometría plana. Geometría 2D.

  • El producto escalar es distributivo respecto de la suma de vectores:

    Definimos el producto escalar de dos vectores del plano real (de dos formas), enumeramos sus propiedades y resolvemos problemas relacionados. Como aplicación, también definimos y calculamos el ángulo que forman dos vectores. Matemáticas para secundaria y bachillerato. Geometría plana. Geometría 2D.

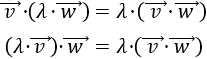
  • Extracción de un escalar \(\lambda\in\mathbb{R}\):

    Definimos el producto escalar de dos vectores del plano real (de dos formas), enumeramos sus propiedades y resolvemos problemas relacionados. Como aplicación, también definimos y calculamos el ángulo que forman dos vectores. Matemáticas para secundaria y bachillerato. Geometría plana. Geometría 2D.

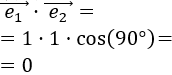
  • Si los vectores \(\vec{v}\) y \(\vec{w}\) son ortogonales (perpendiculares), entonces su producto escalar es 0.

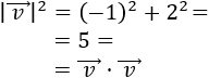
  • El producto de un vector por sí mismo es el cuadrado de su módulo:

    Definimos el producto escalar de dos vectores del plano real (de dos formas), enumeramos sus propiedades y resolvemos problemas relacionados. Como aplicación, también definimos y calculamos el ángulo que forman dos vectores. Matemáticas para secundaria y bachillerato. Geometría plana. Geometría 2D.

  • El módulo de un vector es igual a la raíz cuadrada de su cuadrado:

    Definimos el producto escalar de dos vectores del plano real (de dos formas), enumeramos sus propiedades y resolvemos problemas relacionados. Como aplicación, también definimos y calculamos el ángulo que forman dos vectores. Matemáticas para secundaria y bachillerato. Geometría plana. Geometría 2D.

4. Definición 2 del producto escalar

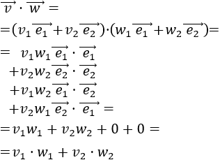
El producto escalar de los vectores \( \vec{v} = (v_1, v_2)\) y \(\vec{w} = (w_1, w_2)\) es

$$\vec{v} ·\vec{w} = v_1·w_1 + v_2·w_2 $$

La definición 1 y la definición 2 son equivalentes (el resultado del producto es el mismo).

Ver demostración

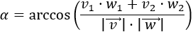
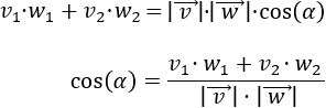
5. Ángulo entre dos vectores

Definimos el producto escalar de dos vectores del plano real (de dos formas), enumeramos sus propiedades y resolvemos problemas relacionados. Como aplicación, también definimos y calculamos el ángulo que forman dos vectores. Matemáticas para secundaria y bachillerato. Geometría plana. Geometría 2D.

Dados dos vectores \( \vec{v} = (v_1, v_2)\) y \(\vec{w} = (w_1, w_2)\), el ángulo que forman es

$$ \alpha = arccos\left( \frac{v_1·w_1+v_2·w_2}{|\vec{v}|·|\vec{w}|}\right) $$


Ver demostración

6. 10 problemas resueltos

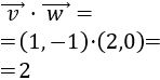
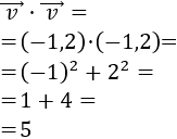
Problema 1

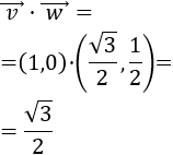
Calcular los siguientes productos escalares:

Definimos el producto escalar de dos vectores del plano real (de dos formas), enumeramos sus propiedades y resolvemos problemas relacionados. Como aplicación, también definimos y calculamos el ángulo que forman dos vectores. Matemáticas para secundaria y bachillerato. Geometría plana. Geometría 2D.

Calcular también el producto de \(\vec{v}\) por sí mismo para ver que se cumple la propiedad siguiente:

Definimos el producto escalar de dos vectores del plano real (de dos formas), enumeramos sus propiedades y resolvemos problemas relacionados. Como aplicación, también definimos y calculamos el ángulo que forman dos vectores. Matemáticas para secundaria y bachillerato. Geometría plana. Geometría 2D.

siendo

Definimos el producto escalar de dos vectores del plano real (de dos formas), enumeramos sus propiedades y resolvemos problemas relacionados. Como aplicación, también definimos y calculamos el ángulo que forman dos vectores. Matemáticas para secundaria y bachillerato. Geometría plana. Geometría 2D.

Ver solución

Problema 2

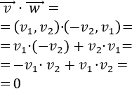
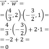
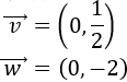
Determinar si los siguientes vectores son ortogonales (perpendiculares):

Definimos el producto escalar de dos vectores del plano real (de dos formas), enumeramos sus propiedades y resolvemos problemas relacionados. Como aplicación, también definimos y calculamos el ángulo que forman dos vectores. Matemáticas para secundaria y bachillerato. Geometría plana. Geometría 2D.

Ver solución

Problema 3

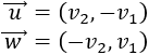
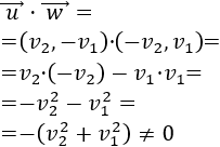
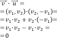
Comprobar que dado un vector \(\vec{v} = (v_1, v_2)\) distinto de 0, los siguientes vectores son ortogonales a \(\vec{v}\):

Definimos el producto escalar de dos vectores del plano real (de dos formas), enumeramos sus propiedades y resolvemos problemas relacionados. Como aplicación, también definimos y calculamos el ángulo que forman dos vectores. Matemáticas para secundaria y bachillerato. Geometría plana. Geometría 2D.

¿Son \(\vec{u}\) y \(\vec{w}\) ortogonales entre sí?

Ver solución

Problema 4

Calcular el ángulo que forman entre sí los siguientes vectores:

Definimos el producto escalar de dos vectores del plano real (de dos formas), enumeramos sus propiedades y resolvemos problemas relacionados. Como aplicación, también definimos y calculamos el ángulo que forman dos vectores. Matemáticas para secundaria y bachillerato. Geometría plana. Geometría 2D.

Ver solución

Problema 5

Calcular el ángulo que forman entre sí los siguientes vectores:

Definimos el producto escalar de dos vectores del plano real (de dos formas), enumeramos sus propiedades y resolvemos problemas relacionados. Como aplicación, también definimos y calculamos el ángulo que forman dos vectores. Matemáticas para secundaria y bachillerato. Geometría plana. Geometría 2D.

Ver solución

Problema 6

Calcular el ángulo que forma un vector \(\vec{v}\) con el vector \(3·\vec{v}\).

Ver solución

Problema 7

Calcular el ángulo que forman entre sí los siguientes vectores:

Definimos el producto escalar de dos vectores del plano real (de dos formas), enumeramos sus propiedades y resolvemos problemas relacionados. Como aplicación, también definimos y calculamos el ángulo que forman dos vectores. Matemáticas para secundaria y bachillerato. Geometría plana. Geometría 2D.

Ver solución

Problema 8

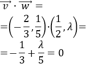
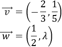
Encontrar el valor del número real \(\lambda\) para que los siguientes vectores sean perpendiculares:

Definimos el producto escalar de dos vectores del plano real (de dos formas), enumeramos sus propiedades y resolvemos problemas relacionados. Como aplicación, también definimos y calculamos el ángulo que forman dos vectores. Matemáticas para secundaria y bachillerato. Geometría plana. Geometría 2D.

Ver solución

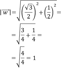
Problema 9

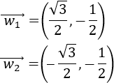
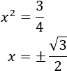
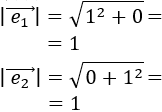
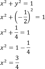
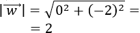
Encontrar al menos un vector \(\vec{w}\) unitario (módulo igual a 1) que forme un ángulo de 60 grados con el siguiente vector:

Definimos el producto escalar de dos vectores del plano real (de dos formas), enumeramos sus propiedades y resolvemos problemas relacionados. Como aplicación, también definimos y calculamos el ángulo que forman dos vectores. Matemáticas para secundaria y bachillerato. Geometría plana. Geometría 2D.

Ver solución

Problema 10

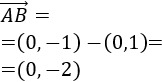
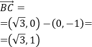
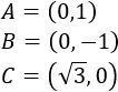
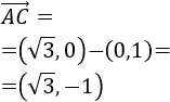
Usando vectores, calcular los ángulos del triángulo cuyos vértices son los puntos

Definimos el producto escalar de dos vectores del plano real (de dos formas), enumeramos sus propiedades y resolvemos problemas relacionados. Como aplicación, también definimos y calculamos el ángulo que forman dos vectores. Matemáticas para secundaria y bachillerato. Geometría plana. Geometría 2D.

Ver solución



acceso al foro

ejercicios interactivos de matemáticas


Producto escalar de vectores del plano - © matesfacil.com

Creative Commons License
Matesfacil.com by J. Llopis is licensed under a Creative Commons Attribution-NonCommercial 4.0 International License.