En esta página demostramos que la derivada nula en un punto es una condición necesaria para ser un extremo relativo.
Contenido de esta página:
Enlace: problemas de máximos y mínimos.
Otras páginas:
Sea la función de variable real \(f:]a,b[\to \mathbb{R}\) derivable en el punto \(x_0 \in ]a,b[\).
Si \(x_0\) es un máximo (o mínimo) relativo de \(f\), entonces su derivada es nula, es decir, \(f'(x_0)=0\).
Sea la función

Su gráfica es

Podemos ver en su gráfica que tiene un máximo en \(x=-1\) y un mínimo en \(x=1\).
La derivada de la función es

Comprobamos que se anula en los extremos vistos:

La aplicación de este resultado es obvia: los puntos que anulan la primera derivada (llamados puntos críticos) son posibles extremos relativos de la función.
Para asegurar si un punto crítico es un extremo, podemos aplicar los criterios de la primera o segunda derivada.
Es importarte advertir que un punto crítico sólo es un posible extremo relativo. Anular la derivada es una condición necesaria, pero no suficiente.
Supongamos que \(x_0\) es un máximo local (si es un mínimo, la demostración es análoga).
Por la definición de máximo local, existe un intervalo \( ]x_0-\varepsilon , x_0+\varepsilon [\) entorno de \(x_0\) donde \(f(x) \leq f(x_0)\) para todo \(x\) del entorno.
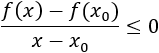
Para \(x \in ]x_0, x_0+\varepsilon [\) se tiene

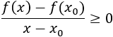
Para \(x \in ]x_0-\varepsilon , x_0 [\) se tiene

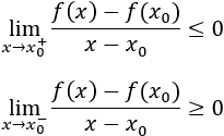
Como consecuencia, los límites laterales de la definición de derivada en \(x_0\) son

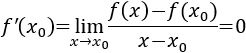
Pero como la función es derivable en el punto \(x_0\), los límites anteriores existen y coinciden, por lo que

Derivada nula en los extremos relativos - © matesfacil.com
Matesfacil.com
by J. Llopis is licensed under a
Creative
Commons Attribution-NonCommercial 4.0 International License.