En esta página proporcionamos las reglas de derivación y la regla de cadena y calculamos derivadas de funciones aplicando dichas reglas. También, deducimos una regla o fórmula para derivar funciones del tipo \(y(x) = f(x)^{g(x)}\).
Contenido de esta página:
Otras páginas:
Recordamos que, formalmente, la derivada de una función es un límite. Sin embargo, como la mayoría de las funciones son una composición de funciones más simples, podemos aplicar reglas para calcular la derivada sin necesidad de límites.
Sea la función

Esta función tiene un coseno y una suma de una constante y una potencia.
Para hallar la derivada de una función compuesta por otras funciones (como la anterior), aplicamos las reglas de derivación, de la cadena y las derivadas básicas (tabla de derivadas (pdf)). De este modo, evitamos aplicar la definición formal de derivada, que es mucho más complicado.
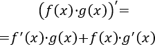
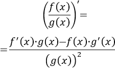
Las reglas de derivación proporcionan la derivada de las operaciones entre funciones. Son las siguientes:





Sea la función

La derivada de \(x^2\) es \(2x\) y la de \(sin(x)\) es \(cos(x)\). Por tanto, aplicando la regla de la suma,

La regla de la cadena nos proporciona la derivada de la composición de funciones:

Es más fácil de entender mediante ejemplos.

Se trata de la composición de la función seno y la función cuadrado. Su derivada es la derivada del seno por la derivada del cuadrado:


Tenemos las mismas funciones, pero con el orden de composición intercambiado. Su derivada es la derivada del cuadrado por la del seno:

Básicamente, la regla de la cadena se puede resumir como "derivar y multiplicar por la derivada de lo de dentro".

Para derivar esta función tenemos que aplicar la regla de la cadena y la regla de derivación de la suma de funciones:

Función logarítmica:

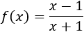
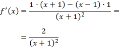
Función racional:

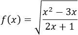
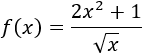
Función con raíz cuadrada:

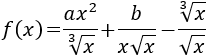
Función con raíces de distintos órdenes y parámetros:

Función con raíz en el denominador:

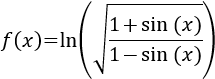
Función logarítmica con cociente de raíces:

Función con logaritmo natural en el denominador:

Función exponencial:

Función exponencal:

Función cociente con exponenciales:

Función exponencial con tangente:

Recordad que \(sec(x) = 1/cos(x)\).
Función cociente con seno, logaritmo y raíz quinta:

Función arcocoseno:

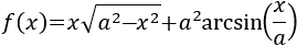
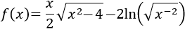
Función con raíz, arcocoseno y parámetro:

Función con raíces y logaritmo:

Demostración de la derivada de una función elevada a una función:

Función exponencial:

Función exponencial:

Función con raíz \(x-\)ésima:

Función exponencial:

Cálculo de derivadas (regla de la cadena) - © matesfacil.com
Matesfacil.com
by J. Llopis is licensed under a
Creative
Commons Attribution-NonCommercial 4.0 International License.