En esta página enunciamos y demostramos el criterio de la segunda derivada y proporcionamos un par de ejemplos de su aplicación.
Contenido de esta página:
Otras páginas:
Sea \(f\) una función dos veces derivable en el intervalo \(]a,b[\subset\mathbb{R}\) y sea \(z\in ]a,b[\) tal que \(f'(z) = 0\). Entonces,
Recordatorio del concepto de extremo relativo o local:
El punto \(z\) de \([a,b]\)
Si \(z\) es un máximo relativo o un mínimo relativo, se dice que es un extremo relativo.
Si \(z\) es un máximo o un mínimo para todo el dominio de la función, se dice que es un extremo absoluto.
La aplicación directa del criterio de la segunda derivada es determinar si los puntos críticos de una función (puntos que anulan la primera derivada) son máximos o mínimos.
Si hay extremos, podemos deducir la monotonía de la función alrededor de éstos.
Además de esto, los puntos que anulan la segunda derivada son candidatos a ser puntos de inflexión (puntos donde la curvatura de la función cambia de tipo (concavidad y convexidad)).
Determinar si los extremos de la siguiente función son máximos o mínimos:

Calculamos la primera derivada:

Calculamos los puntos críticos:

Calculamos la segunda derivada:

Evaluamos la segunda derivada en los puntos críticos:

Por tanto, \(f\) tiene un máximo local en \(x = 0\) y un mínimo local en \(x = 2\).
Gráfica:

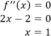
Hallar los posibles puntos de inflexión de la función anterior.
Como los puntos de inflexión anulan la segunda derivada, resolvemos la ecuación \(f''(x)=0\):

Observando la gráfica anterior, el punto \(x=1\) es un punto de inflexión: la función pasa de cóncava a convexa.
Demostramos el caso del mínimo (el máximo es análogo).
Supongamos que \(f''(z)> 0\).
Como \(f'(z) = 0\), aplicando la definición de la segunda derivada, tenemos

Por la definición de límite, \(\exists \delta >0\), tal que \( \frac{f'(x)}{x-z} > 0\) para todo \(x\in ]z-\delta, z+\delta[ , \ x\neq z\).
En particular,

Por el criterio de la primera derivada, \(f\) es estrictamente monótona decreciente y creciente, respectivamente, a la izquierda y a la derecha de \(z\). Por tanto, \(f\) presenta en \(z\) un mínimo.
Criterio de la segunda derivada (con ejemplos y demostración) - © matesfacil.com
Matesfacil.com
by J. Llopis is licensed under a
Creative
Commons Attribution-NonCommercial 4.0 International License.