En esta página enunciamos y demostramos el criterio de la primera derivada y proporcionamos un par de ejemplos de sus aplicaciones.
Contenido de esta página:
Otras páginas:
Sea \(f\) una función continua en el intervalo \([a, b]\subset\mathbb{R}\) y derivable en \(]a, b[\). Entonces,
Decimos que \(c\in ]a,b[\) es un punto crítico si \(f'(c) = 0\).
Los puntos críticos son los candidatos a ser extremos relativos (y absolutos) de la función.
Además de la proporcionar la monotonía de la función, el criterio de la primera derivada se utiliza para hallar extremos relativos y determinar su tipo (máximo o mínimo).
Recordatorio del concepto de extremo relativo o local:
El punto \(c\) de \([a,b]\)
Si \(c\) es un máximo relativo o un mínimo relativo, se dice que es un extremo relativo.
Si \(c\) es un máximo o un mínimo para todo el dominio de la función, se dice que es un extremo absoluto.
Aplicamos el criterio para determinar si un punto crítico \(c\) es un extremo:
Demostrar que la siguiente función es monótona creciente para \(x > 4/9\):

Derivamos la función:

Calculamos los puntos críticos:

El signo de la derivada se mantiene constante en el intervalo \(x > 4/9\). Determinamos su signo calculando la imagen de cualquier punto de dicho intervalo:

Por tanto, la función \(f\) es monótona creciente en el intervalo \((4/9, +\infty)\).
Gráfica:

Nota: no hemos estudiado la monotonía en el resto de los reales.
Hallar los extremos de la siguiente función polinómica:

Calculamos su derivada:

Calculamos los puntos críticos:

Hay dos puntos críticos: \(x = 1/3\) y \(x = -1/3\).
Obviamente, el signo de la derivada se mantiene constante en los intervalos \((-\infty , -1/3)\), \((-1/3,1/3)\) y \((1/3,+\infty)\), así que podemos evaluar la derivada en cualquier punto de cada intervalo para determinar su signo:

Por tanto,
Por tanto, deducimos que \(x = -1/3\) es un máximo y \(x=1/3\) es un mínimo.
Teniendo en cuenta que los límites de \(f\) cuando \(x\to\pm\infty\) son infinitos, los extremos no son absolutos.
Gráfica:

Más ejemplos en
Demostraremos únicamente el primer apartado (monótona creciente) ya que el segundo es análogo.
Supongamos que \(f\) es creciente. Tenemos que ver que su derivada es mayor o igual que 0.
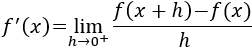
Fijemos un punto \(x\in ]a,b[\). Por definición, la derivada de \(f\) en \(x\) es

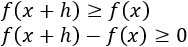
Ahora bien, si \(h> 0\), como \(f\) es creciente,

Y, por tanto, \(f'(x)\geq 0\).
Supongamos ahora que \(f'(x)\geq 0\) para todo \(x\in ]a,b[\).
Sean \(x,y\in ]a,b[\) tales que \(x< y\). Por el teorema del valor medio, existe un \(c\in ]a,b[\) tal que \(x< c < y\) cumpliendo

Como la derivada es no negativa y \(x< y\), tenemos que

Lo que implica que \(f\) es creciente.
Criterio de la primera derivada: ejemplos y demostración - © matesfacil.com
Matesfacil.com
by J. Llopis is licensed under a
Creative
Commons Attribution-NonCommercial 4.0 International License.