Nota: en esta página no vamos a considerar las soluciones complejas, aunque las indicaremos para quienes tengan interés en conocerlas.
Contenido de esta página:
Temas relacionados:
Las ecuaciones bicuadradas son las ecuaciones de cuarto grado con la siguiente forma:

Es decir, son ecuaciones de cuarto grado en las que aparecen, a lo sumo, todos los monomios que tienen la incógnita con exponente par (es decir, \(x^4\), \(x^2\) y \(x^0\)). Decimos a lo sumo ya que los coeficientes \(b\) y \(c\) pueden ser 0, pero no puede serlo el coeficiente \(a\).
Como una ecuación bicuadrada es un caso de ecuación de cuarto grado, la ecuación tiene, como mucho, 4 soluciones.
Se puede resolver una ecuación bicuadrada, por ejemplo, mediante la regla de Ruffini, pero suele ser más rápido aplicar un cambio de variable como vamos a ver en esta página.
Consideremos, pues, la ecuación bicuadrada en su forma general:

Aplicamos el cambio de variable siguiente:

Es decir, escribimos la incógnita \(t\) en lugar de \(x^2\) y \(t^2\) en lugar de \(x^4\):

Obtenemos, así, una ecuación de segundo grado, tipo de ecuación que ya sabemos resolver. Luego,
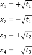
Supongamos que hemos calculado las dos soluciones de esta ecuación de segundo grado y son \(t_1\) y \(t_2\). Como \(t = x^2\), haciendo la raíz cuadrada, tenemos que

Por tanto, haciendo la raíz cuadrada, tenemos las cuatro soluciones de la ecuación inicial:

Continuando con el razonamiento anterior,
Si \(t_1 = 0\), en lugar de dos soluciones (una raíz negativa y una positiva) tendremos sólo una: \(x = 0\). Ocurre lo mismo si \(t_2 = 0\).
Si \(t_1 > 0\), tenemos dos soluciones: la raíz cuadrada negativa y la positiva de \(t_1\). Ocurre lo mismo si \(t_2 > 0\).
Si \(t_1 < 0\), entonces tenemos que calcular la raíz cuadrada de un número negativo. Esto proporciona dos soluciones complejas. Ocurre lo mismo si \(t_2 < 0\).
Por tanto, nos toparemos con los siguientes casos:
Ecuación sin soluciones (reales), como ocurre con la ecuación
$$ x^4 + 4x^2 +4 = 0 $$
Ecuación con 4 soluciones (reales) distintas, como en el Problema 3.
Ecuación con 3 soluciones (reales) distintas, como en el Problema 2.
Ecuación con 2 soluciones (reales) distintas, como en el Problema 1.
Ecuación con una única solución (real), como en el Problema 8.
Resolver y factorizar la siguiente ecuación bicuadrada:

Resolver y factorizar la siguiente ecuación bicuadrada:

Resolver y factorizar la siguiente ecuación bicuadrada:

Resolver y factorizar la siguiente ecuación bicuadrada:

Resolver y factorizar la siguiente ecuación bicuadrada:

Considerar la siguiente ecuación de cuarto grado donde \(a\) es un parámetro:

Cuestiones:
¿Es una ecuación bicuadrada?
¿Por qué se exige que \(a> 1\)?
La ecuación del problema anterior ha sido obtenida buscando una ecuación que tuviera al menos la solución

Encontrar una ecuación bicuadrada que tenga al menos la solución

Resolver y factorizar la siguiente ecuación bicuadrada:

Resolver y factorizar la siguiente ecuación bicuadrada:

El método del cambio de variable o sustitución lo podemos aplicar en otros casos. Por ejemplo, para algunas ecuaciones de sexto grado.
Aplicad el cambio de variable para calcular las soluciones (reales) de la siguiente ecuación:

Ecuaciones bicuadradas resueltas - © matesfacil.com
Matesfacil.com
by J. Llopis is licensed under a
Creative
Commons Attribution-NonCommercial 4.0 International License.