logotipo matesfacil

Criterio de la media aritmética

Contenido de esta página:

  1. Introducción
  2. Criterio de la media aritmética
  3. Problemas resueltos (aplicación del criterio y su demostración)

Otros criterios de convergencia:

Notación:

  • Escribiremos simplemente \(a_n\) para referirnos a una sucesión \(\{a_n \}_{n\in \mathbb{N}}\).
  • Expresaremos que la sucesión \(a_n\) converge a \(L\neq \infty\) mediante \(a_n\rightarrow L\) o mediante

Enunciado, demostración y ejemplos de aplicación del criterio de la media aritmética. Criterios de convergencia de sucesiones. Bachillerato, Universidad, Análisis de una variable real.

1. Introducción

Los límites de las sucesiones se calculan aplicando los mismos razonamientos que en los límites de las funciones, pero en ocasiones estos razonamientos no son suficientes. Es entonces cuando empleamos los criterios de convergencia específicos para sucesiones.

En esta página enunciamos el criterio de convergencia de la media aritmética, lo demostramos para el caso finito (Problema 4) y resolvemos 4 límites aplicándolo.

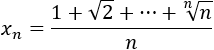
El criterio de la media aritmética se utiliza para calcular límites de sucesiones del tipo

Enunciado, demostración y ejemplos de aplicación del criterio de la media aritmética. Criterios de convergencia de sucesiones. Bachillerato, Universidad, Análisis de una variable real.

X

2. Criterio de la media artimética

Si la sucesión \(a_n\) tiende a \(A\in \mathbb{R} \cup \{ \infty \}\), entonces la sucesión de sus medias aritméticas también tiende a \(A\). Es decir,

Enunciado, demostración y ejemplos de aplicación del criterio de la media aritmética. Criterios de convergencia de sucesiones. Bachillerato, Universidad, Análisis de una variable real.

Demostración en el Problema 4.

Nota: el criterio también es válido para \(A=\infty\).

3. Problemas Resueltos

Problema 1

Calcular el límite de la siguiente sucesión:

Enunciado, demostración y ejemplos de aplicación del criterio de la media aritmética. Criterios de convergencia de sucesiones. Bachillerato, Universidad, Análisis de una variable real.

Ver solución

Problema 2

Calcular el límite de la siguiente sucesión:

Enunciado, demostración y ejemplos de aplicación del criterio de la media aritmética. Criterios de convergencia de sucesiones. Bachillerato, Universidad, Análisis de una variable real.

Ver solución

Problema 3

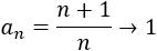
Calcular el límite de la siguiente sucesión:

Enunciado, demostración y ejemplos de aplicación del criterio de la media aritmética. Criterios de convergencia de sucesiones. Bachillerato, Universidad, Análisis de una variable real.

Ver solución


Problema 4

Demostrar el criterio de la media aritmética para el caso \(a_n \rightarrow A \in \mathbb{R}\) aplicando el criterio de Stolz del cociente.

Ver solución

Problema 5

Calcular el límite de la siguiente sucesión:

Enunciado, demostración y ejemplos de aplicación del criterio de la media aritmética. Criterios de convergencia de sucesiones. Bachillerato, Universidad, Análisis de una variable real.

Ayuda: aplicar también el críterio de la raíz.

Ver solución





acceso al foro

ejercicios interactivos de matemáticas