En esta página explicamos de forma sencilla qué es la media aritmética y cómo calcularla. También, proporcionamos una calculadora online y algunos problemas resueltos de aplicación.
Contenido de esta página:
Más calculadoras en calculadoras.
Otras páginas:
Escribir el número de datos y pulsar "Crear". Despues de introducir los datos, pulsar "Calcular".
Sólo se admiten números enteros y decimales (utilizando el punto decimal ".").
|
\(n = \) |
La media aritmética se calcula sumando los datos (\(x_1\), \(x_2\), ..., \(x_n\)) y dividiendo el resultado entre el número total de datos:
$$ \overline{x} = \frac{x_1+x_2+...+x_n}{n} $$
Supongamos que las alturas (en centímetros) de un grupo de 6 niños son las siguientes: 150, 152, 155, 160, 162 y 163.
Calculamos la altura media:

La altura media es 157cm.
Si alguien nos pregunta cuánto miden los niños, podemos contestar proporcionando las seis alturas de cada uno de ellos o diciendo que su la altura media es 157cm.
Observad que la suma de todas las alturas es 942. Si los seis alumnos midiesen 157cm, entonces sus alturas también sumarían 942.
En otras palabras, la altura media es la suma de todas las alturas repartida en seis partes iguales.
Veamos ahora dos ejemplos sobre la relación de los datos con su media aritmética.
Por ejemplo, las alturas de 4 niños son 150, 150, 160 y 160 centímetros.
En este caso, la media aritmética es 155cm y todas las alturas difieren en 5cm de esta altura (por arriba o por abajo).
Sin embargo, no todos los datos se aproximan siempre a la media aritmética y aún menos de forma uniforme. Esto ocurre cuando hay algunos datos que difieren mucho del resto de datos.
Las alturas de un grupo de 10 niños son las siguientes: 115, 115, 115.5, 116, 116.5, 117, 117.5, 118, 180 y 185 centímetros.
La media aritmética de las alturas es 129.55.
Las dos últimas alturas provocan un aumento de la media puesto que son mucho más grandes que las otras.
Por ejemplo, si omitimos estas dos últimas alturas, la media es 116.31cm. Observad que la mayoría de las alturas se aproximan más a esta media que a la anterior.
Otro ejemplo importante es la nota media de los exámenes.
Supongamos que nuestras notas son sobre 10, es decir, aprobamos a partir de 5. En los 5 exámenes de matemáticas tenemos las notas 4, 3, 4, 10 y 10.
A simple vista, podríamos pensar que no aprobamos la asignatura puesto que hemos suspendido 3 de los 5 exámenes. Sin embargo, la nota media de los exámenes es 6.2, así que aprobaríamos y con bastante holgura. Esto se debe a que la nota de los dos exámenes aprobados compensa con creces las otras tres notas.
Si consideramos los 5 exámenes como un único examen, nuestra nota sería un 31 sobre 50 (las notas suman 31 sobre un total de 50), lo que equivale a una nota de 6.2 sobre 10, que es la nota media calculada.
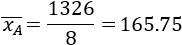
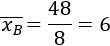
Alturas de los alumnos de los grupos A y B de la clase de matemáticas:

Las notas (sobre 10) en el examen de matemáticas de los grupos A y B son las siguientes:

Después de haber resuelto los problemas anteriores, podemos resolver algunas preguntas de pensar:
Supongamos que hemos medido las alturas de los alumnos de las aulas A y B.
Calcular la media aritmética - © matesfacil.com
Matesfacil.com
by J. Llopis is licensed under a
Creative
Commons Attribution-NonCommercial 4.0 International License.