En esta página explicamos de forma sencilla qué es la media podenerada y cómo calcularla (también, la media ponderada con pesos normalizados). Proporcionamos una calculadora online y algunos problemas resueltos de aplicación.
Contenido de esta página:
Más calculadoras en calculadoras.
Otras páginas:
Escribir el número de datos y pulsar "Crear". Despues de introducir los datos y los pesos, pulsar "Calcular".
Sólo se admiten números enteros y decimales (utilizando el punto decimal ".").
|
\(n = \) |
La media aritmética se calcula sumando los datos (\(x_1\), \(x_2\), ... , \(x_n\)) y dividiendo entre el número total de datos:
$$ \overline{x} = \frac{x_1+x_2+…+x_n}{n} $$
La media ponderada difiere de la aritmética en que cada dato tiene mayor o menor importancia o peso a la hora de calcular la media:
$$ \overline{x_p} = \frac{x_1\cdot p_1+x_2\cdot p_2+…+x_n\cdot p_n}{p_1 + p_2 +…+ p_n} $$
Cada factor \(p_i\) es el peso o ponderación del dato \(x_i\).
Nota: En esta página llamamos \(\overline{x}\) a la media aritmética y \(\overline{x_p}\) a la media ponderada para distinguirlas.
Observad que si los pesos de los datos son iguales (\(p_i = p\) para todo \(i\)), entonces la media ponderada coincide con la aritmética:
$$ \overline{x_p} = \frac{x_1\cdot p+x_2\cdot p+…+x_n\cdot p}{p + p +…+ p} =$$
$$ = \frac{p\cdot (x_1+x_2+…+x_n)}{n\cdot p} =$$
$$= \frac{x_1+x_2+…+x_n}{n} = \overline{x}$$
Las notas de los tres exámenes de un alumno son 7, 5 y 9 (sobre 10).
La media aritmética es

Supongamos que el peso de cada examen es 25%, 35% y 40%. Calculamos la media ponderada:

En este ejemplo, la media ponderada es mayor que la media aritmética porque las dos notas altas tienen más peso que la otra.
La media ponderada la hemos definido como
$$ \overline{x_p} = \frac{ \sum_{i=1}^{n} x_i\cdot p_i }{ \sum_{i=1}^{n} p_i }$$
Definimos los pesos normalizados \(p'_i\) como
$$ p'_i = \frac{p_i}{ \sum_{k=1}^{n} p_k } $$
De este modo, la suma de los pesos es 1:
$$ \sum_{i=1}^{n} p'_i = \sum_{i=1}^{n} \frac{p_i}{ \sum_{k=1}^{n} p_k } = 1$$
La media ponderada con los pesos normalizados es
$$ \frac{ \sum_{i=1}^{n} x_i\cdot p'_i }{ \sum_{i=1}^{n} p'_i } = \sum_{i=1}^{n} x_i\cdot p'_i $$
Esta media coincide con la media ponderada inicial (con los pesos iniciales):
$$ \sum_{i=1}^{n} x_i\cdot p'_i = \sum_{i=1}^{n} \left( x_i\cdot \frac{p_i}{ \sum_{k=1}^{n} p_k } \right) = $$
$$ = \frac{1}{ \sum_{i=1}^{n} p_i } \cdot \sum_{i=1}^{n} x_i\cdot p_i = \overline{x_p} $$
Calcular la media ponderada de los siguientes datos:

Notas y pesos de los cinco exámenes realizados por un alumno:

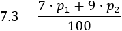
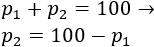
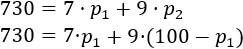
La nota final de matemáticas de un alumno es la media ponderada de los dos exámenes realizados, en los que obtuvo un 7 y un 9. Si la nota final de este alumno es 7.3, ¿cuál era la ponderación de cada nota?
Calcular la media ponderada - © matesfacil.com
Matesfacil.com
by J. Llopis is licensed under a
Creative
Commons Attribution-NonCommercial 4.0 International License.