Existen diversos métodos para calcular la inversa de una matriz, aunque los más extendidos son el método de la matriz adjunta y el que vamos a ver en esta página.
Contenido de esta página:
Dada una matriz \(A\) de dimensión \(nxn\), su matriz inversa, \(A^{-1}\), es la única matriz de dimensión \(nxn\) que cumple
$$ A·A^{-1} =I_n = A^{-1}·A $$
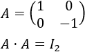
Por ejemplo, la siguiente matriz es igual a su inversa:

Una matriz cuadrada (mismo número de filas que de columnas) tiene matriz inversa si, y solamente si, su determinante es distinto de 0.
Las matrices con inversa se denominan regulares o invertibles. En caso contrario, se denominan singulares.
La inversibilidad de las matrices es un concepto clave en el álgebra matricial debido a sus múltiples aplicaciones.
Como curiosidad, si una matriz es rectangular (distinto número de filas y de columnas), puede tener matrices inversas por uno u otro lado.
Llamaremos operaciones elementales fila (sobre una matriz) a las siguientes operaciones:
Multiplicar una fila por un número distinto de 0.
Sumar (o restar) a una fila, el múltiplo de otra fila.
Intercambiar el orden de las filas.
Recordad que, si una matriz cuadrada es regular, entonces podemos realizar un número finito de operaciones elementales fila para transformar la matriz en la matriz identidad.
En el método de Gauss se realizan las mismas operaciones sobre la matriz identidad, transformándose así en la matriz inversa de \(A\).
Escribimos una matriz doble que contiene a la matriz \(A\) en un lado y a la matriz identidad en el otro. Por ejemplo,

Realizamos operaciones elementales fila para transformar la matriz \(A\) en la identidad. En el ejemplo, es suficiente restar la fila 2 a la fila 1:

Al terminar, por lo que dijimos anteriormente, la matriz \(B\) del lado derecho es, precisamente, la inversa de \(A\): \(B=A^{-1}\).
En todos los problemas debe hallarse la matriz inversa mediante el método de Gauss.








Cálculo de la matriz inversa mediante Gauss - © matesfacil.com
Matesfacil.com
by J. Llopis is licensed under a
Creative
Commons Attribution-NonCommercial 4.0 International License.