Contenido de esta página:
Una matriz es un objeto matemático. Informalmente, podemos decir que una matriz es como una tabla de números. Tiene filas y columnas y la posición de cada número es relevante.
La dimensión de una matriz es \(nxm\), siendo \(n\) el número de filas y \(m\) el de columnas.
Ejemplo:

La matriz \(A\) tiene 3 columnas y 3 filas, así que su dimensión es 3x3.
Nos referimos a la posición de un número de la matriz \(A\) como \((i,j)\), donde \(i\) es el número de la fila a la que pertenece y \(j\) el de la columna.
Por ejemplo,
La diagonal de una matriz son los elementos de la posición \((i,i)\).
Por ejemplo, los elementos de la diagonal de \(A\) son 1, 4, 13.
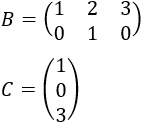
Si el número de filas coincide con el de columnas, se dice que la matriz es cuadrada (como la matriz \(A\)). En caso contrario, se dice que es rectangular (como las matrices \(B\), \(C\) y \(D\) del siguiente ejemplo).
Para hablar de una matriz de forma genérica, suele utilizarse \(a_{i,j}\) ó \(a_{ij}\) para denotar al elemento de la posición \((i,j)\) de una matriz. Por ejemplo,

Con esta notación, solemos referirnos a una matriz \(A\) como

Finalmente, diremos que los elementos de una matriz pueden ser números reales, complejos u otros elementos matemáticos, elementos de un cuerpo \(K\) en general.
Sea una matriz \(A=(a_{ij})\) sobre un cuerpo \(K\), es decir, \(a_{ij}\in K\) (como \(K = \mathbb{R}\)). Se define el producto de un escalar \(\alpha \in K\) por la matriz \(A\) como

Es decir,
El producto de un escalar \(\alpha \) por una matriz \(A\) se calcula multiplicando por \(\alpha\) todos los elementos de \(A\).
El producto de un escalar por una matriz es conmutativo porque el producto de escalares de un cuerpo \(K\) lo es:
$$ \alpha ·A = A·\alpha $$
Para poder sumar (o restar) dos matrices \(A\) y \(B\), éstas tienen que tener la misma dimensión puesto que la suma (o resta) se calcula sumando (o restando) los elementos de la misma posición.
Es decir, si las matrices son

La suma \(A+B\) es

La resta \(A-B\) es

Obviamente, la matriz resultante tiene la misma dimensión que las matrices \(A\) y \(B\).
Más ejemplos en suma y trasposición de matrices.
Conmutativa:

Asociativa:

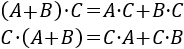
El producto por un escalar es distributivo respecto de la suma (y resta) de matrices:

El producto de matrices es un poco más complejo.
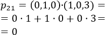
Sean las matrices \(A=(a_{ij})\) de dimensión \(mxn\) y \(B=(b_{ij})\) de dimensión \(nxp\) (el número de columnas de \(A\) y el de filas de \(B\) debe coincidir).
Entonces, se define el producto matricial \(A·B\) (o, simplemente, \(AB\)) como la matriz de dimensión \(mxp\) cuyo elemento en la posición \((i,j)\) es

Es decir,
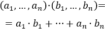
El elemento de la fila \(i\) y columna \(j\) es el producto de la fila \(i\) de \(A\) por la columna \(j\) de \(B\). Este producto de una fila por una columna se calcula como el producto escalar de dos vectores.
Recordad que el producto escalar de dos vectores es

Más ejemplos en producto de matrices.
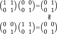
No es, generalmente, conmutativo. Por ejemplo,

Propiedad asociativa:

Propiedad distributiva respecto de la suma (por la derecha y por la izquierda):

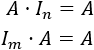
La matriz identidad de dimensión correspondiente es el neutro del producto por uno u otro lado. Si \(A\) es de dimensión \(mxn\),

Recordad que \(I_n\) es la matriz de dimensión \(nxn\) formada por 1's en la diagonal y 0's en las otras posiciones.
Si la matriz \(A\) es cuadrada de dimensión \(nxn\),

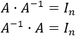
Si la matriz \(A\) es de dimensión \(nxn\) y es regular, existe una matriz \(A^{-1}\) (matriz inversa de \(A\)) tal que

Introducción al álgebra matricial: conceptos y operaciones de matrices- © matesfacil.com
Matesfacil.com
by J. Llopis is licensed under a
Creative
Commons Attribution-NonCommercial 4.0 International License.