Contenido de esta página:
Vamos a explicar por qué, entre otras razones, es tan importante la relación de equivalencia entre matrices.
Recordad que un sistema de ecuaciones lineales se puede representar en forma matricial como

donde
De hecho, podemos representar el sistema \(AX=b\) con una sola matriz: \(A^*\), llamada matriz ampliada o aumentada del sistema:

La matriz ampliada es una matriz por bloques: contiene a la matriz \(A\) en el lado izquierdo y a la matriz \(b\) en el derecho.
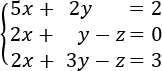
Por ejemplo, consideremos el sistema de ecuaciones

Su matriz ampliada es

Consideremos ahora la matriz ampliada siguiente:

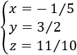
Es la matriz ampliada del sistema

Supongamos cierto el siguiente teorema:
Dos sistemas de ecuaciones lineales tienen la misma solución si, y sólo si, sendas matrices ampliadas son equivalentes. (*)
Entonces, si las matrices ampliadas \(A^*\) y \(Z^*\) son equivalentes (lo son), entonces ya tenemos la solución del sistema asociado a la matriz \(A^*\):

Por tanto, si demostramos el teorema anterior (*), una forma de resolver un sistema con matriz ampliada \(A^*\) es hallar una matriz equivalente que nos proporcione rápidamente la solución del sistema, como \(Z^*\).
Este método de resolver un sistema es el método de Gauss y el de Gauss-Jordan (son variantes del mismo). Podéis encontrar ejemplos del método en:
Más adelante, vamos a definir como matrices equivalentes a la matriz \(A\) a las matrices que se obtienen al realizar una o más operaciones elementales fila sobre \(A\).
Dada una matriz \(A\), las operaciones elementales fila son:
Multiplicar la fila \(s\) de \(A\) por un escalar \(a\) no nulo.
Matriz de la operación: \(E^s (a)\). Es la matriz identidad pero con el escalar \(a\) en la posición \((s,s)\).
Sumar a la fila \(s\) de \(A\) la fila \(r\) de \(A\) multiplicada por un escalar \(a\).
Matriz de la operación: \(E^s _r (a)\). Es la matriz identidad pero con el escalar \(a\) en la posición \((s,r)\).
Intercambiar las filas \(s\) y \(r\) de \(A\).
Matriz de la operación: \(E^{s,r}\). Es la matriz identidad pero con las columnas \(s\) y \(r\) intercambiadas.
En cada una de las operaciones anteriores hemos definido una matriz (\(E^s (a)\), \(E^s _r (a)\) y \(E^{s,r}\)). Estas matrices se denominan matrices elementales. Si multiplicamos una de estas matrices por la matriz \(A\), se obtiene la matriz resultante al aplicar a \(A\) la operación elemental fila asociada a dicha matriz.
Por ejemplo, la matriz \(E^{s,r}·A\) es la matriz \(A\) con las filas \(s\) y \(r\) intercambiadas.
Las matrices elementales son regulares.
Dos matrices de la misma dimensión, \(A\) y \(B\), son equivalentes si existe una matriz elemental fila (o producto de ellas), \(E\), tal que \(A = E·B\). Lo expresamos como \(A \sim B\).
Diremos que una matriz tiene forma escalonada si se cumplen las siguientes condiciones:
Dicho en otras palabras, podemos transformar cualquier matriz en una matriz en forma escalonada mediante operaciones elementales fila.
Diremos que una matriz tiene forma escalonada reducida si se cumplen:
En la forma escalonada reducida, un pivote es siempre 1 y suele llamarse "1 prinicipal".
El número de 1's principales de una matriz FER coincide con su rango.
Como una matriz \(A\) sólo es equivalente a una matriz con esta forma, suele llamarse "matriz FER de \(A\)" ó "\(FER(A)\)".
Podemos seguir los siguientes pasos para calcular la FER de una matriz:
Podéis encontrar ejemplos en la página eliminación de Gauss y de Gauss-Jordan
Equivalencia entre matrices: operaciones elementales fila y formas escalonada y escalonada reducida - © matesfacil.com
Matesfacil.com
by J. Llopis is licensed under a
Creative
Commons Attribution-NonCommercial 4.0 International License.