logotipo matesfacil

Indeterminación 0 elevado a 0, 00

En esta página hablamos sobre la indeterminación cero elevado a cero (\(0^0\)), viendo ejemplos y técnicas para evitar esta indeterminación.

Contenido de esta página:

  1. Introducción
  2. Cambio para aplicar L'Hôpital
  3. Límites resueltos

1. Introducción

Recordamos que una indeterminación o forma indeterminada es una expresión algebraica que aparece en el cálculo de límites y cuyo resultado no se puede conocer de antemano.

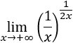
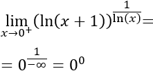
Veamos cómo la indeterminación \(0^0\) puede dar lugar a valores distintos. Por ejemplo, aparece en los siguientes límites:

Transformación de la indeterminación 0 elevado a 0 en las indeterminaciones infinito partido infinito y 0 partido 0 para poder aplicar la regla de L'Hôpital. Con ejemplos. Límites resueltos. Matemáticas. Bachillerato y universidad.

Sin embargo,

  • La función \(f(x) = x^0\) es la función constante \(f(x) = 1\), así que

    Transformación de la indeterminación 0 elevado a 0 en las indeterminaciones infinito partido infinito y 0 partido 0 para poder aplicar la regla de L'Hôpital. Con ejemplos. Límites resueltos. Matemáticas. Bachillerato y universidad.

  • La función \(f(x) = 0^x\) es la función constante \(f(x) = 0\), así que

    Transformación de la indeterminación 0 elevado a 0 en las indeterminaciones infinito partido infinito y 0 partido 0 para poder aplicar la regla de L'Hôpital. Con ejemplos. Límites resueltos. Matemáticas. Bachillerato y universidad.

2. Cambio para aplicar L'Hôpital

Transformaciones para obtener las indeterminaciones \(0/0\) y \(\infty/\infty\).

Mostrar texto

3. Límites resueltos

Límite 1

Transformación de la indeterminación 0 elevado a 0 en las indeterminaciones infinito partido infinito y 0 partido 0 para poder aplicar la regla de L'Hôpital. Con ejemplos. Límites resueltos. Matemáticas. Bachillerato y universidad.

Solución

Límite 2

Transformación de la indeterminación 0 elevado a 0 en las indeterminaciones infinito partido infinito y 0 partido 0 para poder aplicar la regla de L'Hôpital. Con ejemplos. Límites resueltos. Matemáticas. Bachillerato y universidad.

Solución

Límite 3

Transformación de la indeterminación 0 elevado a 0 en las indeterminaciones infinito partido infinito y 0 partido 0 para poder aplicar la regla de L'Hôpital. Con ejemplos. Límites resueltos. Matemáticas. Bachillerato y universidad.

Solución

Límite 4

Transformación de la indeterminación 0 elevado a 0 en las indeterminaciones infinito partido infinito y 0 partido 0 para poder aplicar la regla de L'Hôpital. Con ejemplos. Límites resueltos. Matemáticas. Bachillerato y universidad.

Solución

Límite 5

Transformación de la indeterminación 0 elevado a 0 en las indeterminaciones infinito partido infinito y 0 partido 0 para poder aplicar la regla de L'Hôpital. Con ejemplos. Límites resueltos. Matemáticas. Bachillerato y universidad.

Solución



acceso al foro

ejercicios interactivos de matemáticas


Indeterminación 0 elevado a 0, con límites resueltos - © matesfacil.com

Creative Commons License
Matesfacil.com by J. Llopis is licensed under a Creative Commons Attribution-NonCommercial 4.0 International License.