En esta página hablamos sobre la indeterminación uno elevado a infinito (\(1^\infty\)), viendo ejemplos y una fórmula para evitar esta indeterminación.
Contenido de esta página:
Otras páginas:
Recordamos que una indeterminación o forma indeterminada es una expresión algebraica que aparece en el cálculo de límites y cuyo resultado no se puede conocer de antemano.
Por ejemplo, la indeterminación \(1^\infty \) aparece en los siguientes límites:

Sin embargo, el resultado de estos límites es distinto:

Con estos ejemplos queda claro que \(1^\infty \) es una forma indeterminada o indeterminación.
Existe una fórmula que permite evitar la indeterminación \(1^\infty\).
Si el límite de la función \(f(x)\) es \(1\) y el de \(g(x)\) es \(\infty\), tenemos la indeterminación \(1^\infty\) en el límite de \(f(x)^{g(x)}\):

En este caso, aplicamos la siguiente fórmula:

Como vamos a trabajar en el exponente de la función exponencial, en adelante, para ver claramente el exponente, utilizaremos la notación \(exp\{h(x)\}\):

Con esta notación, la fórmula anterior es

Nota: \(A\) puede ser un número finito o \(\pm \infty\).
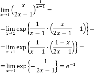
Resolvemos los dos límites que vimos en la introducción aplicando la fórmula.
Demostración intuitiva de la fórmula para la indeterminación \(1^\infty\).
Método alternativo para evitar la indeterminación \(1^\infty\).
Transformación de \(1^\infty\) en \(0/0\) y \(\infty/\infty\).





Indeterminación 1 elevado a infinito (1∞) - © matesfacil.com
Matesfacil.com
by J. Llopis is licensed under a
Creative
Commons Attribution-NonCommercial 4.0 International License.