En esta página hablamos sobre la indeterminación infinito elevado a cero (\(\infty^0\)), viendo ejemplos y técnicas para evitar esta indeterminación.
Contenido de esta página:
Otras páginas:
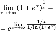
Recordamos que una indeterminación o forma indeterminada es una expresión algebraica que aparece en el cálculo de límites y cuyo resultado no se puede conocer de antemano. Por ejemplo, en los siguientes límites tenemos la indeterminación infinito elevado a 0:

Sin embargo, tienen resultados distintos:

Con este ejemplo queda claro que la expresión \(\infty^0\) es una indeterminación.
Transformaciones para obtener las indeterminaciones \(\infty/\infty\) y \(0/0\) para poder aplicar la regla de L'Hôpital.





Indeterminación infinito elevado a cero, con límites resueltos - © matesfacil.com
Matesfacil.com
by J. Llopis is licensed under a
Creative
Commons Attribution-NonCommercial 4.0 International License.