logotipo matesfacil

Indeterminación o forma indeterminada

En esta página explicamos qué es una indeterminación matemática, calculamos algunos límites que presentan indeterminaciones y proporcionamos las transformaciones que permiten aplicar la regla de L'Hôpital.

Contenido de esta página:

  1. Introducción
  2. Indeterminación
  3. Ejemplos
  4. Transformaciones para aplicar L'Hôpital

1. Introducción

Recordamos el concepto intuitivo de límite:

Sea \(f(x)\) una función y sea \(a\) un punto, el límite de \(f(x)\) cuando \(x\) tiende a \(a\) es el valor al que se aproxima \(f(x)\) cuando \(x\) se aproxima a \(a\).

Por ejemplo, el límite de \(f(x) = x^2\) cuando \(x\) tiende a 2 es 4:

Explicamos qué es una indeterminación matemática, calculamos algunos límites que presentan indeterminaciones y proporcionamos las transformaciones que permiten aplicar la regla de L'Hôpital. Cálculo de límites. Indeterminación o forma indeterminada.

Podemos dar valores a \(x\) cercanos a 2 por su izquierda:

Explicamos qué es una indeterminación matemática, calculamos algunos límites que presentan indeterminaciones y proporcionamos las transformaciones que permiten aplicar la regla de L'Hôpital. Cálculo de límites. Indeterminación o forma indeterminada.

Y por su derecha,

Explicamos qué es una indeterminación matemática, calculamos algunos límites que presentan indeterminaciones y proporcionamos las transformaciones que permiten aplicar la regla de L'Hôpital. Cálculo de límites. Indeterminación o forma indeterminada.

Observamos que, cuanto más se aproxima \(x\) a 2, más se aproxima \(f(x)\) a 4 (por ambos lados). Por tanto, el límite de \(f(x)\) en \(x=2\) es 4.

En realidad, también podemos calcular el límite anterior sustituyendo \(x=2\) en el límite:

Explicamos qué es una indeterminación matemática, calculamos algunos límites que presentan indeterminaciones y proporcionamos las transformaciones que permiten aplicar la regla de L'Hôpital. Cálculo de límites. Indeterminación o forma indeterminada.

Nota: no siempre el límite de \(f(x)\) en \(x=a\) coincide con \(f(a)\).

2. Indeterminación

Supongamos que queremos calcular el siguiente límite:

Explicamos qué es una indeterminación matemática, calculamos algunos límites que presentan indeterminaciones y proporcionamos las transformaciones que permiten aplicar la regla de L'Hôpital. Cálculo de límites. Indeterminación o forma indeterminada.

Si sustituimos \(x\) por \(1\), obtenemos la expresión \(0/0\):

Explicamos qué es una indeterminación matemática, calculamos algunos límites que presentan indeterminaciones y proporcionamos las transformaciones que permiten aplicar la regla de L'Hôpital. Cálculo de límites. Indeterminación o forma indeterminada.

Obviamente, este resultado no tiene sentido matemáticamente.

Algo parecido ocurre al calcular el límite siguiente:

Explicamos qué es una indeterminación matemática, calculamos algunos límites que presentan indeterminaciones y proporcionamos las transformaciones que permiten aplicar la regla de L'Hôpital. Cálculo de límites. Indeterminación o forma indeterminada.

Sin embargo, hay una diferencia sustancial entre ambos resultados: podemos asegurar el resultado de todos los límites en los que aparece \(1/0\) es \(+\infty\), pero no podemos predecir el resultado de los límites en los que aparece \(0/0\).

Por ejemplo,

Explicamos qué es una indeterminación matemática, calculamos algunos límites que presentan indeterminaciones y proporcionamos las transformaciones que permiten aplicar la regla de L'Hôpital. Cálculo de límites. Indeterminación o forma indeterminada.

Por tanto,

Una indeterminación matemática es una expresión algebraica que aparece en el cálculo de los límites y cuyo resultado no se puede predecir.

Cuando aparece una indeterminación en un límite, el límite depende de la propia función. Esto conlleva que, aunque aparezca la misma indeterminación, el límite puede ser distinto para funciones distintas.

Las indeterminaciones son las 7 siguientes expresiones:

Explicamos qué es una indeterminación matemática, calculamos algunos límites que presentan indeterminaciones y proporcionamos las transformaciones que permiten aplicar la regla de L'Hôpital. Cálculo de límites. Indeterminación o forma indeterminada.

Para las demás expresiones que involucran infinito o partido cero, existen reglas como las siguientes:

Explicamos qué es una indeterminación matemática, calculamos algunos límites que presentan indeterminaciones y proporcionamos las transformaciones que permiten aplicar la regla de L'Hôpital. Cálculo de límites. Indeterminación o forma indeterminada.

Más reglas en cálculo de límites.

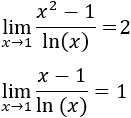
3. Ejemplos

Ejemplos de límites que presentan indeterminaciones.

Mostrar texto

4. Transformaciones para aplicar L'Hôpital

En ninguno de los ejemplos anteriores hemos aplicado la regla de L'Hôpital, pero podemos hacerlo.

La regla de L'Hôpital es un teorema que permite calcular límites en los que aparece la indeterminación \(0/0\) ó \(\infty/\infty\). Sólo tenemos que derivar numerador y denominador:

Explicamos qué es una indeterminación matemática, calculamos algunos límites que presentan indeterminaciones y proporcionamos las transformaciones que permiten aplicar la regla de L'Hôpital. Cálculo de límites. Indeterminación o forma indeterminada.

Por ejemplo,

Explicamos qué es una indeterminación matemática, calculamos algunos límites que presentan indeterminaciones y proporcionamos las transformaciones que permiten aplicar la regla de L'Hôpital. Cálculo de límites. Indeterminación o forma indeterminada.

Como existen otras 5 indeterminaciones además de estas dos, una técnica para poder aplicar L'Hôpital en estas indeterminaciones es reescribir la función del límite de modo que aparezca un cociente de ceros o de infinitos.

Para abreviar, escribimos \(f\) y \(g\) en lugar de \(f(x)\) y \(g(x)\).

Infinito elevado a 0:

Explicamos qué es una indeterminación matemática, calculamos algunos límites que presentan indeterminaciones y proporcionamos las transformaciones que permiten aplicar la regla de L'Hôpital. Cálculo de límites. Indeterminación o forma indeterminada.

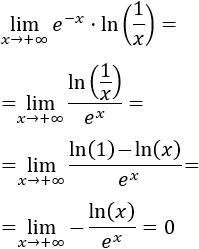
0 por infinito:

Explicamos qué es una indeterminación matemática, calculamos algunos límites que presentan indeterminaciones y proporcionamos las transformaciones que permiten aplicar la regla de L'Hôpital. Cálculo de límites. Indeterminación o forma indeterminada.

Infinito menos infinito:

Explicamos qué es una indeterminación matemática, calculamos algunos límites que presentan indeterminaciones y proporcionamos las transformaciones que permiten aplicar la regla de L'Hôpital. Cálculo de límites. Indeterminación o forma indeterminada.

0 elevado a 0:

Explicamos qué es una indeterminación matemática, calculamos algunos límites que presentan indeterminaciones y proporcionamos las transformaciones que permiten aplicar la regla de L'Hôpital. Cálculo de límites. Indeterminación o forma indeterminada.

1 elevado a infinito:

Explicamos qué es una indeterminación matemática, calculamos algunos límites que presentan indeterminaciones y proporcionamos las transformaciones que permiten aplicar la regla de L'Hôpital. Cálculo de límites. Indeterminación o forma indeterminada.

No olvidéis que tenemos una fórmula para esta indeterminación:

Explicamos qué es una indeterminación matemática, calculamos algunos límites que presentan indeterminaciones y proporcionamos las transformaciones que permiten aplicar la regla de L'Hôpital. Cálculo de límites. Indeterminación o forma indeterminada.




acceso al foro

ejercicios interactivos de matemáticas


Indeterminación o forma indeterminada - © matesfacil.com

Creative Commons License
Matesfacil.com by J. Llopis is licensed under a Creative Commons Attribution-NonCommercial 4.0 International License.