logotipo matesfacil

Matrices y sistemas de ecuaciones

En esta página vamos a ver por qué el álgebra matricial es una gran herramienta para estudiar y resolver sistemas de ecuaciones lineales. El texto es más bien teórico, pero se incluyen enlaces a problemas resueltos.

Contenido de esta página:

  1. Introducción
  2. Definición de SEL y su representación matricial
  3. Clasificación de los SEL según su forma
  4. Solución de un SEL y número de soluciones
  5. Métodos para resolver un SEL
  6. Teorema de Rouché-Frobenius

1. Introducción

Una de las aplicaciones más importantes del álgebra matricial es la resolución de sistemas de ecuaciones lineales (SEL). En esta página vamos ver cómo representar un SEL en forma matricial y algunos resultados teóricos del álgebra matricial que permiten clasificarlo y resolverlo.

Sin duda, el resultado más relevante es el teorema de Rouché-Frobenius, que nos permite clasificar el SEL a partir del rango de la matriz ampliada del SEL.

Asumimos que ya conocemos el concepto de matriz y sus operaciones básicas (suma, resta, producto, transpuesta, determinante, matriz inversa, rango, etc.).

Notación: llamaremos \(x_i\) a las incógnitas de los sistemas para poder hablar de forma genérica de un sistema con \(n\) incógnitas.

2. Definición de SEL y su representación matricial

Un sistema de \(m\) ecuaciones lineales con \(n\) incógnitas \(x_1\), \(x_2\),...,\(x_n\) con coeficientes en un cuerpo \(K\) (como los reales o los complejos) es

Representación matricial de un sistema de ecuaciones lineales (SEL), clasificación de un SEL según sus soluciones (sistema incompatible, sistema compatible determinado y sistema compatible indeterminado). Álgebra matricial y enunciado del Teorema de Rouché-Frobenius. Álgebra matricial. Matrices.

siendo \(a_{i,j}\in K\) el coeficiente de la incógnita \(x_j\) de la ecuación \(i\) y \(b_i \in K\) el término independiente de la ecuación \(i\).

Se define la matriz de coeficientes del sistema anterior como

Representación matricial de un sistema de ecuaciones lineales (SEL), clasificación de un SEL según sus soluciones (sistema incompatible, sistema compatible determinado y sistema compatible indeterminado). Álgebra matricial y enunciado del Teorema de Rouché-Frobenius. Álgebra matricial. Matrices.

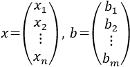
Y la matriz de incógnitas, \(x\), y de términos independientes, \(b\), como

Representación matricial de un sistema de ecuaciones lineales (SEL), clasificación de un SEL según sus soluciones (sistema incompatible, sistema compatible determinado y sistema compatible indeterminado). Álgebra matricial y enunciado del Teorema de Rouché-Frobenius. Álgebra matricial. Matrices.

La representación matricial o forma matricial del SEL es \(A·x = b\).

Además de la matrices anteriores, se define la matriz ampliada, completa o aumentada del SEL como la matriz por bloques siguiente:

Representación matricial de un sistema de ecuaciones lineales (SEL), clasificación de un SEL según sus soluciones (sistema incompatible, sistema compatible determinado y sistema compatible indeterminado). Álgebra matricial y enunciado del Teorema de Rouché-Frobenius. Álgebra matricial. Matrices.

Es decir,

Representación matricial de un sistema de ecuaciones lineales (SEL), clasificación de un SEL según sus soluciones (sistema incompatible, sistema compatible determinado y sistema compatible indeterminado). Álgebra matricial y enunciado del Teorema de Rouché-Frobenius. Álgebra matricial. Matrices.


Ver ejemplo

3. Clasificación de los SEL según su forma

Clasificación de un sistema de ecuaciones lineles (SEL):

1. Según su dimensión:

  • Sistema cuadrado: mismo número de ecuaciones que de incógnitas.
  • Sistema rectangular: distinto número de ecuaciones que de incógnitas.

2. Según los términos independientes \(b_i\) de las ecuaciones:

  • Sistema homogéneo: los términos independites son \(b_i = 0\).
  • Sistema no homgéneo o completo: al menos uno de los términos independientes es distinto de 0.

4. Solución de un SEL y número de soluciones

Una solución de un SEL es el conjunto de valores que debe tomar cada una de las incógnitas \(x_i\) para que se verifiquen simultáneamente todas las ecuaciones del SEL.

Si trabajamos en forma matricial, una soución del SEL es una matriz de dimensión \(1xn\) que debe verificar la ecuación matricial \(A·x = b\).

Los métodos para clasificar y resolver un SEL en forma matricial se basan en el siguiente teorema:

Sea un SEL con matriz ampliada \(A^* = (A|b)\), es decir, \(A·x=b\). Y sea \(B^*\) cualquier matriz que se haya obtenido realizando operaciones elementales entre las filas de \(A^*\).

Entonces, el SEL con matriz ampliada \(B^*\) es equivalente al SEL con matriz ampliada \(A^*\).

Aclaraciones:

  • Dos SEL son equivalentes si tienen las mismas soluciones.

  • Las operaciones elementales entre las filas de una matriz son:

    • Intercambiar filas.
    • Multiplicar una fila por un escalar distinto de 0.
    • Sumar a una fila otra fila multiplicada por un escalar.

Por ejemplo, si multiplicamos todas las ecuaciones de un SEL por 2, tenemos un sistema distinto, pero la solución sigue siendo la misma. Son sistemas distintos, pero equivalentes.

Según el número de soluciones, clasificamos un SEL en:

  • Sistema incompatible (SI): no tiene soluciones.
  • Sistema compatible determinado (SCD): tiene una única solución.
  • Sistema compatible indeterminado (SCI): tiene más de una solución (en este caso, tiene infinitas soluciones).

5. Métodos para resolver un SEL

Destacamos 3 métodos para la resolución de sistemas de ecuaciones lineales:

  • Eliminación de Gauss: consiste en realizar operaciones elementales fila a la matriz ampliada del SEL hasta obtener su forma escalonada reducida: Ejemplos de Eliminación de Gauss.
  • Método de la matriz inversa: si el SEL es compatible determinado, se multiplica la matriz de términos independientes por la inversa de la matriz de coeficientes: Ejemplos del método de la inversa.
  • Regla de Cramer: si el SEL es compatible determinado, se obtiene la solución calculando unos cuantos determinantes: Ejemplos de la Regla de Cramer.

6. Teorema de Rouché-Frobenius

El teorema de Rouché-Frobenius es uno de los más importantes del álgebra matricial, al menos en cuanto a aplicaciones prácticas, ya que nos permite clasificar un SEL según el rango de su matriz ampliada.

Sea A·x = b un sistema de m ecuaciones lineales con n incógnitas (sobre un cuerpo en general), siendo m y n naturales (no nulos). Entonces,

  • A·x = B es compatible si, y sólo si, rango(A) = rango (A|b).
  • A·x = b es compatible determinado si, y sólo si, rango(A) = n = rango(A|b).

Demostración del teorema y ejemplos de aplicación en Teorema de Rouché-Frobenius.





contacto

ejercicios interactivos de matemáticas


Matrices y sistemas de ecuaciones lineales - © matesfacil.com

Creative Commons License
Matesfacil.com by J. Llopis is licensed under a Creative Commons Attribution-NonCommercial 4.0 International License.