logotipo matesfacil

Método de la inversa para resolver sistemas

Contenido de esta página:

  1. Introducción
  2. Método de la inversa para resolver sistemas
  3. Ejemplos

1. Introducción

Existen multitud de métodos para resolver sistemas de ecuaciones lineales. Los más utilizados en el álgebra matricial son la eliminación de Gauss y de Gauss-Jordan y la regla de Cramer. En los dos primeros, tenemos que realizar operaciones elementales fia. En el tercero, tenemos que calcular algunos determinantes.

Otro método para resolver un sistema de ecuaciones compatible determinado (con una única solución) es multiplicar la matriz de coeficientes por su inversa.

Páginas relacionadas:

2. Método de Gauss para calcular la inversa

Supongamos que tenemos un sistema de \(n\) ecuaciones lineales con \(n\) incógnitas. Podemos representar el sistema de forma matricial como

Explicamos el método de la inversa para resolver sistemas de ecuaciones lineales compatibles determinados (con una solución). Calculamos la solución multiplicando la matriz de términos independientes por la inversa de la matriz de coeficientes del sistema. Sistemas resueltos. Ejemplos. Matemáticas para bachillerato y universidad. Álgebra matricial. Matrices.

donde

  • La matriz \(A\) es de dimensión \(nxn\) y contiene en cada fila los coeficientes de las incógnitas de cada ecuación.
  • La matriz \(x\) es de dimensión \(nx1\) (una columna) y contiene las \(n\) incógnitas del sistema.
  • La matriz \(b\) es de dimensión \(nx1\) y contiene los términos independientes de las ecuaciones.

Si el sistema tiene una única solución (es compatible determinado), entonces la matriz \(A\) es regular (determinante distinto de 0) y, por tanto, existe su matriz inversa \(A^{-1}\).

Entonces, podemos multiplicar toda la ecuación por la inversa de \(A^{-1}\):

Explicamos el método de la inversa para resolver sistemas de ecuaciones lineales compatibles determinados (con una solución). Calculamos la solución multiplicando la matriz de términos independientes por la inversa de la matriz de coeficientes del sistema. Sistemas resueltos. Ejemplos. Matemáticas para bachillerato y universidad. Álgebra matricial. Matrices.

Es decir, si la matriz \(A\) es regular, entonces la matriz columna resultante del producto matricial \(A^{-1}·b\) contiene la solución del sistema \(Ax=b\).

En esta página vamos a ver 3 ejemplos de este método.

3. Ejemplos

Sistema 1

Sistema de 2 ecuaciones con 2 incógnitas (2x2)

Explicamos el método de la inversa para resolver sistemas de ecuaciones lineales compatibles determinados (con una solución). Calculamos la solución multiplicando la matriz de términos independientes por la inversa de la matriz de coeficientes del sistema. Sistemas resueltos. Ejemplos. Matemáticas para bachillerato y universidad. Álgebra matricial. Matrices.

Ver solución

Sistema 2

Sistema de 3 ecuaciones con 3 incógnitas (3x3)

Explicamos el método de la inversa para resolver sistemas de ecuaciones lineales compatibles determinados (con una solución). Calculamos la solución multiplicando la matriz de términos independientes por la inversa de la matriz de coeficientes del sistema. Sistemas resueltos. Ejemplos. Matemáticas para bachillerato y universidad. Álgebra matricial. Matrices.

Ver solución

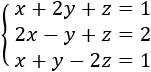
Sistema 3

Sistema de 3 ecuaciones con 3 incógnitas (3x3)

Explicamos el método de la inversa para resolver sistemas de ecuaciones lineales compatibles determinados (con una solución). Calculamos la solución multiplicando la matriz de términos independientes por la inversa de la matriz de coeficientes del sistema. Sistemas resueltos. Ejemplos. Matemáticas para bachillerato y universidad. Álgebra matricial. Matrices.

Ver solución


contacto

ejercicios interactivos de matemáticas


Método de la inversa para resolver sistemas de ecuaciones - © matesfacil.com

Creative Commons License
Matesfacil.com by J. Llopis is licensed under a Creative Commons Attribution-NonCommercial 4.0 International License.